Обоснование возможности вовлечения в отработку законтурных запасов затопленного Сибайского карьера
В.Н. Калмыков1, О.В. Зотеев2, А.С. Тарабаев3
1 Магнитогорский государственный технический университет им. Г.И. Носова, г. Магнитогорск, Российская Федерация
2 ООО «Проекты и технологии Уральский регион», г. Екатеринбург, Российская Федерация
3 ООО «УралГеоПроект», г. Магнитогорск, Российская Федерация
Горная Промышленность №5S/ 2025 стр. 43-51
Резюме: Вследствие возникновения эндогенного пожара подземные выработки и Сибайский карьер в 2019 г. были затоплены. За предельным контуром карьера остались значительные запасы руд, вовлечение которых в отработку осложнено рядом обстоятельств: возможность рецидива пожара при откачке минерализованных растворов из карьера, отсутствие очистных сооружений достаточной мощности, значительные сроки, необходимые на удаление воды, расположение промышленных запасов вблизи контура карьера, что в целом исключает совмещение подземных работ с процессами осушения. В статье предложен вариант освоения оставленных запасов, разработана технология и обоснованы параметры, обеспечивающие безопасность и эффективность горных работ по доработке месторождения. Отличительная особенность предложенного варианта состоит в замещении минерализованного раствора в донной части карьера намывным массивом, что позволит предотвратить развитие окислительных процессов в зоне очистных работ и проводить их под защитой насыпного геобарьера, в том числе системами разработки с обрушением налегающих пород. Наличие в создаваемом изолирующем геобарьере, представленном обрушенными породами и породами осыпи, песчано-глинистыми смесями, поданными для подавления окислительных процессов с поверхности, влажными тонкодисперсными фракциями отходов обогащения, исключает возможность возникновения и развития очагов эндогенного пожара. Малая вероятность залпового поступления такой композиции в зону очистных работ достигается, как показано расчетами, путем управления гранулометрическим составом отбитой руды, влажностью изолирующей массы, обеспечением требуемых реологических характеристик и небольшой скорости фильтрации тонкодисперсной составляющей в выпускаемой рудной массе и обрушенных породах, постоянным мониторингом свойств и состояния изолирующего массива.
Ключевые слова: карьер, барьерный целик, эндогенный пожар, система разработки, подэтажное обрушение, песчано-глинистые породы, профилактическое заиливание, реологические свойства массива
Для цитирования: Калмыков В.Н., Зотеев О.В., Тарабаев А.С. Обоснование возможности вовлечения в отработку законтурных запасов затопленного Сибайского карьера. Горная промышленность. 2025;(5S):43–51. https://doi.org/10.30686/1609-9192-2025-5S-43-51
Информация о статье
Поступила в редакцию: 23.08.2025
Поступила после рецензирования: 06.10.2025
Принята к публикации: 20.10.2025
Информация об авторах
Калмыков Вячеслав Николаевич – доктор технических наук, профессор, Магнитогорский государственный технический университет им. Г.И. Носова, Магнитогорск, Российская Федерация; e-mail: Адрес электронной почты защищен от спам-ботов. Для просмотра адреса в вашем браузере должен быть включен Javascript.
Зотеев Олег Вадимович – доктор технических наук, профессор, ООО «Проекты и Технологии – Уральский Регион», г. Екатеринбург, Российская Федерация; e-mail: Адрес электронной почты защищен от спам-ботов. Для просмотра адреса в вашем браузере должен быть включен Javascript.
Тарабаев Андрей Сергеевич – инженер, ООО «УралГеоПроект», г. Магнитогорск, Российская Федерация; e-mail: Адрес электронной почты защищен от спам-ботов. Для просмотра адреса в вашем браузере должен быть включен Javascript.
Введение
Отработка запасов залежи Новый Сибай производилась в соответствии с проектной документацией, разработанной ЗАО «ГПСЦ» [1]. Схема вскрытия месторождения приведена на рис. 1. Запасы предусмотрено было отрабатывать системой подэтажного обрушения с торцовым выпуском руды и профилактическим заиливанием выработанного пространства.
При этом фактически работы по заиливанию рудника не проводились ввиду того, что условия и порядок их выполнения проектом не регламентировались [2]. В частности, в проекте отсутствуют решения по размещению выработок для ведения работ по заиливанию обрушенной рудной массы, по приготовлению и транспортированию заиловочной смеси. Также в проектных решениях не учтено наличие аэродинамических связей между карьером и выработками подземного рудника.

Рис. 1 Схема вскрытия Сибайского месторождения
Fig. 1 A schematic diagram of the Sibay deposit development
С ноября 2018 г. в отработанном карьере Сибайского ГОКа был зафиксирован неконтролируемый процесс окисления сульфидных руд и вмещающих пород в бортах карьера, в результате которого в атмосферу промышленного региона стали выбрасываться вредные продукты химического разложения в виде сернистого газа и иных примесей [1]. Для предотвращения развития окислительных процессов в 2019 г. АО «Уралмеханобр» разработал Стратегию доработки запасов [3], где были подробно расписаны мероприятия по заиливанию выработочного пространства. Однако в связи с ухудшением экологической ситуации в регионе руководством недропользователя УГМК холдинг было принято решение о мокрой консервации рудника, которая началась 08.02.2019 г.
Характеристика сложившейся горнотехнической ситуации
С началом консервации рудника очистные работы были полностью остановлены, подземные выработки и карьер затоплены, шахтные стволы выведены из эксплуатации, подъемное, вентиляционное, водоотливное оборудование, а также сооружения на земной поверхности демонтированы. Поскольку очаги окислительных процессов фиксировались в бортах и на дне карьера, были проведены заиловочные работы с северо-западного и юго-восточного бортов карьера (рис. 2). Объем глинопесчаной породы в соответствии с проектом составил 1750 и 2150 тыс. м³ соответственно на северо-западном и юго-восточном бортах карьера. С учетом предварительной отсыпки бортов карьера глинопесчаной породой объем работ по заиловке дна карьера и локализации очагов окислительных процессов составил 2430 тыс. м³.

Рис. 2 Формирование глинопесчаного отвала на юго-западном борту карьера
Fig. 2. Creation of a clay-and-sand dump at the south-western wall of the open pit
В процессе консервации согласно проекту, помимо заиловочных работ, в карьере была предусмотрена для снижения кислотности шахтной воды и вовлечения в химическую реакцию диоксида серы подача в этажные выработки извести, из расчета 4 кг на 1 м³ подаваемой смеси.
В настоящее время Сибайский карьер вместе с подземными выработками затоплен до отметки +67 м (глубина от поверхности 300 м), объем воды определен в количестве 17,8 млн м³. Согласно последним замерам воды в карьере – кислотные (pH = 3,2) с высокой степенью минерализации. В данной части карьера за счет осыпей обрушенных и песчано-глинистых пород образовался слой мощностью 90 м. Гранулометрический состав этого слоя, как и распределение его мощности по дну карьера, неизвестны.
Балансовые запасы руды и содержание полезных ископаемых по участку «Новый Сибай» Сибайского медноколчеданного месторождения на дату прекращения работ (20.01.2019 г.) приведены в табл. 1.
Анализ сложившейся горнотехнической ситуации позволил сделать следующие выводы относительно возможности освоения неотработанных запасов:
- оставшиеся запасы неравномерно распределены по трем горизонтам и частично находятся в бортах карьера;
- запасы характеризуются достаточно большими объемами и высоким содержанием ценных компонентов и являются объектом подземной разработки;
- в настоящее время возобновление окислительных процессов и развитие эндогенных пожаров исключены из-за слоя воды, перекрывающего доступ воздуха к рудам с высоким содержанием серы;
- подземная отработка запасов возможна только при условии удаления свободной воды из карьерного пространства и должна сопровождаться мероприятиями по предотвращению возобновления эндогенных пожаров.
Таблица 1 Балансовые запасы руды и полезных компонентов по участку «Новый Сибай» Сибайского медноколчеданного месторождения по состоянию на 20.01.2019 г.
Table 1 Balance reserves of the ore and commercial minerals at the Novy Sibay section of the Sibay copper-pyrite deposit as of 20 January 2019
Принципиальные проектные решения по вовлечению запасов затопленного карьера в разработку
Из вышеизложенного следует, что определяющим условием вовлечения законтурных запасов в разработку является удаление минерализованных растворов из карьера. При этом сброс удаляемой воды на рельеф невозможен, т.е. необходима очистка растворов, что в связи с отсутствием мощностей очистных сооружений потребует дополнительных исследований, проектных проработок, существенных дополнительных затрат времени и средств [2]. Такой подход не позволяет проводить параллельно работы по осушению карьера и очистке растворов с работами по восстановлению подземного рудника. Совместить их во времени возможно, если задействовать емкость Камаганского карьера для размещения в нем растворов и организации их обезвреживания.
Выполнение условия по обязательному удалению воды из карьера входит в противоречие с требованиями безопасности труда в связи с наличием руд с высоким содержанием серы и вероятностью их возгорания. Поэтому для обеспечения возможности безопасной отработки затопленных запасов необходимо проводить удаление растворов с замещением части воды (растворов) в карьере толщей увлажненных мелкодисперсных пород (песчано-глинистых отложений, далее – ПГО), имеющих высокие изолирующие свойства, что позволит избежать активизации окислительных процессов.
Формируемая насыпь тонкодисперсных пород, помимо хороших аэро- и водоизолирующих свойств, должна обладать малой подвижностью, позволяющей управлять деформациями при ее подработке в процессе очистных работ, что для образований такого вида возможно производить путем направленного изменения влажности, гранулометрического состава, порядка ведения горных работ. В качестве контролируемых показателей подвижности изолирующей толщи предлагается использовать реологические характеристики. Мощность формируемого слоя ПГО, его свойства и состояние должны обеспечивать надежную изоляцию потенциальных очагов пожара от поступления воздуха, исключить возможность замыкания шахтной струи на атмосферу и образование активных аэродинамических связей, проведение подземных очистных работ высокопроизводительными системами разработки.
Очевидно, что наиболее безопасный вариант доработки запасов – это переход на систему разработки с закладкой и оставлением части запасов в виде предохранительных целиков, препятствующих прорыву ПГО. Однако при этом не решается вопрос доработки запасов, оставляемых в этих целиках. Нами предлагается схема отработки основных запасов в восходящем порядке камерными и слоевыми системами с закладкой с последующей доработкой барьерного целика системой подэтажного обрушения с торцевым выпуском рудной массы без проведения профилактического заиливания под слоем намытых и обрушенных пород, свойства которых исключают возможность заплывного выброса ПГО в очистные выработки (рис. 3).

Рис. 3 Схема отработки барьерного целика системой подэтажного обрушения с торцевым выпуском под слоем намытых и обрушенных пород
Fig. 3 A schematic diagram of mining the curtain wall using the sublevel caving system with front ore drawing under the layer of backfilled and caved rock
Применение данного варианта системы разработки предполагает организацию постоянного дренажа изолирующего массива, удаление свободной воды, доведение реологических свойств до требуемых значений, определение показателей подвижности в режиме мониторинга. Выемка запасов ведется панелями, ориентация и размеры которых определяются морфологией целика расчетами на основе теории выпуска и уточняются в процессе опытно- промышленных испытаний. Так как выемка осуществляется одним подэтажом, предусматриваются меры по снижению потерь между панелями.
Завершить формирование изолирующего массива возможно за счет размыва доставляемых под струю воды мелкодисперсных пород, использования отходов переработки хвостов Сибайского ГОКа, представляющих собой тонкодисперсный материал. Для снижения количества мелкодисперсных пород допустим и желателен сброс крупнокусковой массы, но ее объем не должен превышать объем подаваемого мелкодисперсного материала, так как коэффициент фильтрации их смеси при условии полного заполнения пор в крупнообломочном материале ниже, чем коэффициент фильтрации мелкообломочного [3].
Обоснование технологии безопасной доработки запасов барьерных целиков
Обзор литературных источников на предмет аварий, связанных с заполнением карьеров, подрабатываемых подземными рудниками, показал, что эти аварии практически не изучены и не освещены в литературе, что косвенно свидетельствует об их малочисленности [4]. Общим для всех аварий, произошедших при заполнении заглубленных емкостей, является наличие больших статических запасов свободной воды, а также наличие или образование сквозного гидравлического канала в виде системы карстовых полостей или водопроводящих трещин большого раскрытия, соединяющих карьер и подземные выработки. При отсутствии большого количества свободной воды аварии возможны только в виде появления плывунов.
Наиболее близким аналогом применения систем с обрушением под толщей увлажненных песчано-глинистых пород является Соколовский подземный рудник (СПР) (Казахстан) [5].
Особенностью Соколовского месторождения является наличие нескольких водоносных горизонтов в мощном чехле рыхлых осадочных пород, перекрывающем рудоносную толщу. Применение системы с обрушением предопределяет возможность прорыва воды и обводненных песчано-глинистых отложений (ПГО) [4]. Локальные случаи таких аварий возникали еще на этапе применения камерной системы с закладкой, с переходом же на систему с обрушением случаи проникновения ПГО в зону ведения горных работ приобрели систематический характер [5].
К настоящему времени на Соколовском подземном руднике наработан перечень мероприятий на участках, отрабатываемых с применением систем разработки с обрушением руды и вмещающих пород, в основном направленных на предотвращение образования пустот, накопление в них свободной воды и организацию дренажа зон увлажненных пород [сноска6].
Таким образом, на основании более чем 20-летнего опыта работы СПР можно сделать вывод, что при отсутствии свободной воды в карьере или в зонах обрушения и постоянном дренаже ПГО безопасная отработка запасов под рыхлой обводненной толщей системами с обрушением возможна. Это подтверждается опытом рекультивации Главного карьера Высокогорского ГОКа [сноска7] [6] и Учалинского карьера [7; 8].
Главной опасностью применения систем с обрушением под увлажненными породными массивами является вероятность проникновения ПГО в подземные выработки по существующим или вновь образованным гидравлическим каналам, что не влияет на безопасность ведения горных работ, но может привести к повышенным потерям и разубоживанию руды [9].
В случае когда в накопленной толще преобладают пески, дренаж налетающей толщи всегда будет эффективен [10]. Если же преобладать будут глинистые частицы, то эффективность отработки запасов будет зависеть от степени осушения насыпной толщи пород. В инженерной геологии и механике грунтов давно известно, что пластичность суглинистых и глинистых грунтов определяется их влажностью. При этом принято определять верхний предел пластичности (влажность на пределе пластичности) и нижний предел пластичности (влажность на пределе раскатывания).
При влажности на пределе раскатывания глинистых грунтов (в среднем составляет 25%) они полностью теряют пластические свойства и представляют собой низкомодульную среду, т.е. их проникновение в рабочее пространство может происходить только за счет вдавливания слабого материала между более крупных кусков отбитой руды. Какой-либо опасности при отработке запасов в целиках в этом случае не существует, что подтверждается опытом работ на Соколовском подземном руднике. Для Сибайского рудника ориентировочно можно принять эту влажность равной 23,3%.
При влажности выше предела раскатывания (в среднем влажность 40% и более, а для Сибайского месторождения – порядка 37,3%) поведение обводненных песчано-глинистых отложений можно уподобить течению вязкой жидкости по каналам в обрушенной рудной массе определенного фракционного состава. При этом в случае влажности выше предела текучести считается, что ПГО из грунтов переходят в разряд суспензий.
Изучению процесса перетекания пластичных масс через обломочные породы посвящено достаточно много работ, например [11–16]. Оценить скорость распространения пластичной массы через обрушенную руду возможно:

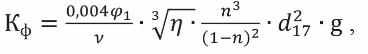
где J и Jн – действующий и начальный градиенты напоров соответственно; Kф – коэффициент фильтрации обрушенной массы, который может быть оценен по гранулометрическому составу обрушенной руды [сноска8]:

где g – ускорение свободного падения; n – пористость; v – кинематическая вязкость ПГО; φ1 – коэффициент формы частиц грунта (для обломочных грунтов φ1 = 0,35 [13]); η – коэффициент неоднородности обрушенных пород, η = d60/d10; d10, d17 и d60 – диаметры частиц, соответствующие накопленной частости 10, 17 и 60% соответственно, на кривой гранулометрического состава, м.
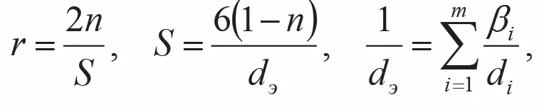
Величина начального градиента определяется вязкостью ПГО и гранулометрическим составом обрушенных пород через средний радиус гидравлических каналов r, который оценивается по формуле И. Козени [11–13]:

где n – пористость грунта; S – удельная поверхность пор, м2; d0 – эффективный диаметр частиц грунта, м; βi – удельное содержание i-й фракции; m – количество фракций; di – средний диаметр частиц i-й фракции; r – средний радиус гидравлических каналов в обрушенной горной массе.
Величина кинематической вязкости, как уже отмечалось выше, определяется содержанием влаги в ПГО, т.е. тоже является управляемой в определенной мере величиной.
Естественно, что при проектировании доработки запасов необходимо определять эти величины по результатам испытаний отобранных проб. Однако для предпроектных расчетов можно использовать результаты изучения характеристик сгущенных хвостов, которые по своим характеристикам близки к водонасыщенным суглинкам. Результаты испытаний продукта сгущения хвостов Учалинского [сноска9] и Гайского ГОКов [сноска10] приведены в табл. 2.
Таблица 2 Результаты испытаний продуктов сгущения отвальных хвостов
Table 2 Results of testing the tailings thickening products

Приведенные результаты лабораторных испытаний: с уменьшением влажности (увеличением весового соотношения твердой и жидкой частей Т:Ж) в интервале между пределами текучести и раскатывания вязкость ПГО растет практически линейно (рис. 4). При этом в случае приближения влажности к пределу раскатывания вязкость повышается скачком (табл. 2, рис. 5).

Рис. 4 Изменение кинематической вязкости с уменьшением влажности
Fig. 4 Change in the kinematic viscosity with the decreasing moisture content

Рис. 5 Внешний вид продукта сгущения хвостов обогатительной фабрики Гайского ГОКа после консолидации: а – консистенция продукта сгущения с массовой долей твердого 87,5% (влажность 14%); б – конус пастообразного продукта сгущения хвостов с массовым содержанием твердого 76% (влажность 32%)
Fig. 5 A view of the tailings thickening products of the Gayskiy Mining and Processing Plant upon consolidation: а – the appearance of the thickening product with the 87.5% of solid content by weight (moisture content of 14%); б – a cone specimen of the pastelike tailings thickening product with the 76% of solid content by weight (moisture content of 32%)
Для оценки начального градиента в первом приближении можно использовать регрессионные уравнения, также полученные по результатам обработки лабораторных испытаний на сгущенных хвостах обогатительных фабрик Учалинского и Гайского ГОКов:
- для хвостов Учалинского ГОКа Jн = 8,794 ∙ 10–7 ∙ r–0,98648 ∙ v1,338;
- для хвостов Гайского ГОКа Jн = 1,503 ∙ 10–8 ∙ r–1,7176 ∙ v1,3363;
- для объединенной выборки Jн = 4,645 ∙ 10–7 ∙r–1,296 ∙ v1,214.
Во всех приведенных уравнениях величина среднего радиуса гидравлических каналов задается в метрах, а величина кинематической вязкости – в мм2/с (в сСт).
Приведенные соотношения дают возможность определить скорость поступления сдренированных ПГО в слой отбитой рудной массы при торцевом выпуске ее под слоем размещенных в карьере отходов обогащения.
Для расчета прогнозных параметров движения пластичных сред в рудной массе в процессе ее выпуска из очистного пространства использовалась кривая гранулометрического состава руды при системе подэтажного обрушения с торцевым выпуском, полученная методом фотопланиметрии в условиях Кировского рудника АО «Апатит» [сноска11] и приведенная на рис. 6.
В соответствии с полученными результатами эффективный диаметр кусков, определяемый по формуле (3), составит dэ = 0,122 м. Контролирующие диаметры примут значения: d10 = 0,016 м, d17 = 0,038 м, d50 = 0,223 м, d60 = 0,300 м. Начальную пористость отбитой руды можно оценить через коэффициент неоднородности отбитой руды η:


Рис. 6 Гранулометрический состав руды при системе разработки подэтажного обрушения с торцевым выпуском Источник: Анализ состояния и сохранности взрывных скважин при ведении БВР (с предоставлением рекомендаций и предложений по ведению взрывных работ). Отчет о НИР. Магнитогорск; Кировск: ООО «Маггеоэксперт»; 2018. 54 с.
Fig. 6 Particle size distribution of the ore in the sublevel caving mining system with front ore drawing Source: Analysis of the condition and integrity of blast holes during drilling and blasting operations (with recommendations and suggestions for performing blasting operations). Magnitogorsk; Kirovsk: Maggeoexpert LLC; 2018. 54 p. (In Russ.)
Эффективный диаметр куска руды составляет dэ = 0,122 м, а величина среднего гидравлического радиуса канала r = 0,026 м.
Мощность ПГО на дне карьера в расчетах принималась равной 20 м, а их плотность – равной 2,1 т/м3. Высота подэтажа принята равной 20 м.
Для таких условий величина скорости фильтрации ПГО через обрушенную руду составит:
- при вязкости ПГО 1000 мм2/с Jн = 0,231, Kф = 747 м/сут, V = 1338 м/сут = 55,8 м/ч;
- при вязкости ПГО 2000 мм2/с Jн = 0,535, Kф = 373 м/сут, V = 517 м/сут = 21,6 м/ч;
- при вязкости ПГО 3000 мм2/с Jн = 0,876, Kф = 249 м/сут, V = 232 м/сут = 9,67 м/ч;
- при вязкости ПГО 4000 мм2/с Jн = 1,242, Kф = 187 м/сут, V = 83 м/сут = 3,4 м/ч;
- при вязкости ПГО 5000 мм2/с Jн = 1,628, Kф = 149 м/сут фильтрация невозможна.
Для оценки влияния качества дробления на скорость фильтрации пластичной среды через отбитую рудную массу были проведены аналогичные расчеты для гранулометрического состава, полученного при самообрушении крепких скальных пород (рис. 7) [17; 18]. Эффективный диаметр обломков, определяемый по формуле (4), составил dэ = 0,27 м, Контролирующие диаметры приняли значения: d10 = 0,08 м, d17 = 0,112 м, d50 = 0,4437 м, d60 = 0,6201 м. Величина среднего гидравлического радиуса канала составила r = 0,0316 м, а градиент напора принял значение 2,1.
Для таких условий величина скорости фильтрации ПГО через обрушенную руду составит:
- при вязкости ПГО 1000 мм2/с Jн = 0,179, Kф = 946 м/сут, V = 1761 м/сут = 73,3 м/ч;
- при вязкости ПГО 2000 мм2/с Jн = 0,415, Kф = 473 м/сут, V = 732 м/сут = 30,5 м/ч;
- при вязкости ПГО 3000 мм2/с Jн = 0,679, Kф = 315 м/сут, V = 377 м/сут = 15,75 м/ч;
- при вязкости ПГО 4000 мм2/с Jн = 0,963, Kф = 237 м/сут, V = 193 м/сут = 8 м/ч;
- при вязкости ПГО 5000 мм2/с Jн = 1,263, Kф = 189 м/сут, V = 78,6 м/сут = 3,3 м/ч;
- при вязкости ПГО 6000 мм2/с Jн = 1,576, Kф = 157 м/сут фильтрация невозможна (ориентировочная влажность 32%).

Рис. 7 Гранулометрический состав руды при ее самообрушении
Fig. 7 Particle size distribution of ore in uncontrolled caving
Очевидно, что увеличение эффективного диаметра куска в 2 раза приводит к увеличению скорости фильтрации ПГО в 1,5–2,0 раза.
Таким образом, можно с уверенностью утверждать, что за счет дренажа ПГО имеется реальная возможность управлять реологическими свойствами и подвижностью формируемого изолирующего массива, а путем повышения качества отбойки буровзрывным способом уменьшать проницаемость отбитой руды. Исходя из этих выводов можно также принять, что возможность применения системы разработки подэтажного обрушения с торцевым выпуском рудной массы не вызывает сомнения. При этом сформированный защитный слой ПГО исключит возникновение аварийных ситуаций, связанных с эндогенными пожарами.
Заключение
По результатам исследований и расчетов разработаны обоснованные технологические рекомендации, реализация которых обеспечивает вовлечение в отработку затопленных законтурных запасов Сибайского карьера, включающие следующие принципиальные положения:
- Производится откачка воды из карьерного пространства в режиме замещения ее искусственным массивом, формируемым из отходов обогащения, вскрышных пород со свойствами и мощностью, исключающими возможность возобновления окислительных процессов.
- Выемка основной части запасов производится в восходящем порядке под защитой барьерного целика с параметрами, гарантирующими его устойчивость при подработке по всей площади системами разработки с твердеющей закладкой камерными или слоевыми и возможность извлечения запасов подземным способом.
- Отработку барьерных (разделительных) целиков целесообразно осуществлять системой разработки подэтажного обрушения с торцевым выпуском руды под слоем увлажненного массива, представленного смесью отходов обогащения и скальных пород вскрыши, реологические свойства смеси регулируются путем изменения влажности.
- С целью придания определенных реологических свойств и снижения подвижности намывной смеси все время ведется ее дренаж и мониторинг состояния. По результатам испытаний влажности и вязкости сфера охраны ПРО разрабатывается конструктивное исполнение варианта системы разработки и параметров технологии отбойки руды, обеспечивающих высокий начальный градиент и низкий коэффициент фильтрации. Определение прогнозных показателей потерь и разубоживания руды на этапе опытно- промышленных испытаний рекомендуется использованием известных методик.
- В случае если влажность ПРО не дает возможности подобрать приемлемые значения реологических свойств, оставляется изолирующая рудная корка либо принимаются дополнительные меры по управлению подвижностью пластичной среды.
Сноски
[сноска6] Технологический регламент на процессы формирования зоны обрушения от ведения очистных работ на шахте «Соколовское» с целью предотвращения проникновения песчано-глинистых пород к выработкам выпуска. Алматы: ТОО «ГИЦ по ГП»; 2016.
[сноска7] Научное обеспечение опытно-промышленного заполнения Главного карьера Высокогорского ГОКа хвостами МОФ: Отчет о НИР /УГГГА. Екатеринбург; 1986.
[сноска8] Рекомендации по проектированию обратных фильтров гидротехнических сооружений. П56-90. СПб.: ВНИИГ; 1992.
[сноска9] Специальные технические условия на проектирование и строительство объекта «Комплекс пастового сгущения отвальных хвостов обогатительной фабрики для проведения горнотехнической рекультивации Учалинского карьера». Магнитогорск: ЗАО «Маггеоэксперт»; 2014.
[сноска10] Технологический регламент «Укладка сгущенных отвальных хвостов обогатительной фабрики ПАО «Гайский ГОК» в открытый склад». Екатеринбург: УФ ВНИИМ, ООО «ГПУР»; 2018.
[сноска11] Анализ состояния и сохранности взрывных скважин при ведении БВР (с предоставлением рекомендаций и предложений по ведению взрывных работ). Отчет о НИР. Магнитогорск; Кировск: ООО «Маггеоэксперт»; 2018. 54 с.
Список литературы
1. Никонов В.Н. Самовозгорание серного колчедана в Сибайском карьере. Геология, полезные ископаемые и проблемы геоэкологии Башкортостана, Урала и сопредельных территорий. 2022;(14):134–137.
2. Шакиров Д.Р., Горбатенко Д.А., Шевкунов О.А., Хатанов К.Ю. Оценка эффективности очистки карьерных вод горно-обогатительного комбината. Молодежь и наука. 2018;(2):125.
3. Пахомов О.А. Исследование механических свойства окатанного камня в смесях с песчано-гравийным материалом. Известия ВНИИГ. 1978;(122):12–18.
4. Усанов С.В., Крутиков А.В., Мельник Д.Е. Обеспечение промышленной безопасности при разработке соколовского железорудного месторождения подземным способом в условиях обводненной налегающей толщи. Проблемы недропользования. 2018;(4):82–89.
5. Балек А.Е., Сашурин А.Д., Харисов Т.Ф. Совершенствование подземной разработки соколовского месторождения системами с обрушением в условиях обводненных налегающих пород. Проблемы недропользования. 2019;(1):5–13.
6. Зотеев В.Т., Зотеев О.В., Костерова Т.К., Тагильцев С.Н., Осламенко В.В. Гидрогеологические и геомеханические условия формирования хвостохранилища в Главном карьере Высокогорского ГОКа. Известия высших учебных заведений. Горный журнал. 1995;(5):111–121.
7. Калмыков В.Н., Зотеев О.В., Зубков А.А., Гоготин А.А., Зубков А.А. Опытно-промышленные испытания технологии закладки выработанного пространства Учалинского карьера отходами обогатительного передела. Известия высших учебных заведений. Горный журнал. 2013;(7):4–8.
8. Зотеев О.В., Калмыков В.Н., Гоготин А.А., Проданов А.Н. Основные положения методики выбора технологии складирования отходов обогащения руд в подработанных подземными рудниками карьерах и зонах обрушения. Горный журнал. 2015;(11):57–61.
9. Cacciuttolo Vargas C., Marinovic Pulido A. Sustainable management of thickened tailings in Chile and Peru: A review of practical experience and socio-environmental acceptance. Sustainability. 2022;14(17):10901.
10. Gao J., Fourie A. Studies on thickened tailings deposition in flume tests using the computational fluid dynamics (CFD) method. Canadian Geotechnical Journal. 2019;56(2):249–262.
11. Шестаков В.М. Гидрогеодинамика. 3-е изд., перераб. и доп. М.: Изд-во МГУ; 1995. 368 с.
12. Гавич И.К. Гидрогеодинамика. М.: Недра; 1988. 349 с.
13. Росляк А.Т. Физика пласта. Томск; 2008. 131 с.
14. Santos A., Bedrikovetsky P. Size exclusion during particle suspension transport in porous media: stochastic and averaged equations. Computational and Applied Mathematics. 2004;23(2-3):259–284.
15. You Z., Osipov Yu., Bedrikovetsky P., Kuzmina L. Asymptotic model for deep bed filtration. Chemical Engineering Journal. 2014;258:374–385.
16. Dev Burman G.K., Das P.K. Groundwater exploration in hard rock terrain: an experience from eastern India. In: Shamir U., Jiaqi C. (eds) The hydrological basis for water resources management: proceedings of the Beijing symposium, October, 1990. IAHS Publication; 1990. No. 197, pp. 19–30.
17. Кузьмин Е.В., Узбекова А.Р. Самообрушение руды при подземной добыче. М.: Изд-во Моск. гос. горного ун-та; 2006. 283 с.
18. Черемушенцев И.А., Рыжова Л.В. Применение системы этажного обрушения на полиметаллических рудниках СССР. Свердловск: Металлургиздат. Свердл. отд-ние; 1958. 163 с.










