Обоснование размера охранной зоны буровзрывных работ при монтаже и эксплуатации солнечных панелей на борту карьера
И.А. Пыталев1, Д.В. Доможиров1, А.А. Полинов2, Ю.К. Ильтинин3, В.В. Якшина1
1 Магнитогорский государственный технический университет им. Г.И. Носова, г. Магнитогорск, Российская Федерация
2 ПАО «Магнитогорский металлургический комбинат», г. Магнитогорск, Российская Федерация
3 ООО «Бластинт интер солюшнс», г. Уфа, Республика Башкортостан, Российская Федерация
Russian Mining Industry №5/ 2025 p. 49-54
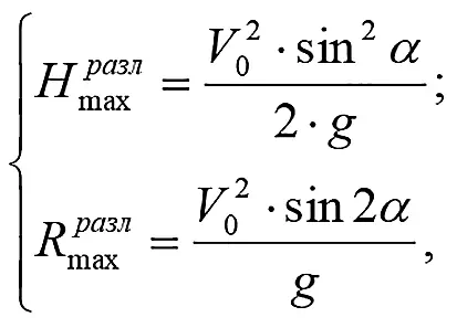
Резюме: В статье рассмотрен способ повышения комплексности и полноты освоения участка недр путем подготовки откоса борта карьера для монтажа и обслуживания солнечных панелей. Обоснована возможность совмещения горных работ с применением буровзрывного способа подготовки пород к выемке и эксплуатации солнечной электростанции. Разработана схема к расчету охранной зоны и предложена методика определения ее минимального размера, обеспечивающего безопасный монтаж и эксплуатацию на верхних уступах карьера установок по преобразованию солнечной энергии в электрическую. Установлены зависимости размера охранной зоны от удаления участков ведения горных работ как в плане, так и с учетом абсолютных отметок от мест установки солнечных панелей. Даны рекомендации по совмещению горных работ с монтажом и обслуживанием солнечных панелей, установленных на верхних уступах карьера. В результате исследований выявлено, что при установке солнечных панелей на верхних уступах борта карьера их безопасная эксплуатация при ведении буровзрывных работ без специальных мероприятий возможна на расстоянии 90 м и более в зависимости от конструкции откоса борта. При этом по мере понижения горных работ размер минимальной охранной зоны снижается до 40 м.
Ключевые слова: борт карьера, параметры буровзрывных работ, солнечные панели, охранная зона, породы вскрыши, разлет кусков
Для цитирования: Пыталев И.А., Доможиров Д.В., Полинов А.А., Ильтинин Ю.К., Якшина В.В. Обоснование размера охранной зоны буровзрывных работ при монтаже и эксплуатации солнечных панелей на борту карьера. Горная промышленность. 2025;(5):49–54. https://doi.org/10.30686/1609-9192-2025-5-49-54
Информация о статье
Поступила в редакцию: 01.06.2025
Поступила после рецензирования: 10.07.2025
Принята к публикации: 23.07.2025
Информация об авторах
Пыталев Иван Алексеевич – доктор технических наук, профессор, профессор кафедры разработки месторождений полезных ископаемых, Магнитогорский государственный технический университет им. Г.И. Носова, г. Магнитогорск, Российская Федерация; https://orcid.org/0000-0002-5415-8079 ; e-mail: Адрес электронной почты защищен от спам-ботов. Для просмотра адреса в вашем браузере должен быть включен Javascript.
Доможиров Дмитрий Викторович – доктор технических наук, профессор кафедры разработки месторождений полезных ископаемых, Магнитогорский государственный технический университет им. Г.И. Носова, г. Магнитогорск, Российская Федерация; https://orcid.org/0000-0001-9904-5820
Полинов Андрей Александрович – кандидат технических наук, главный металлург, ПАО «Магнитогорский металлургический комбинат», г. Магнитогорск, Российская Федерация
Ильтинин Юлай Каримович – инженер, ООО «Бластинт интер солюшнс», г. Уфа, Республика Башкортостан, Российская Федерация
Якшина Виктория Владимировна – кандидат технических наук, старший преподаватель кафедры разработки месторождений полезных ископаемых, Магнитогорский государственный технический университет им. Г.И. Носова, г. Магнитогорск, Российская Федерация
Введение
Горнодобывающие предприятия в современных условиях ведения открытых горных работ вынуждены осуществлять поиск технических и технологических решений, направленных на повышение эффективности функционирования. На фоне постоянного усложнения горно-геологических и горнотехнических условий разработки месторождений твердых полезных ископаемых наблюдается ужесточение требований не только к экологической безопасности ведения горных работ, но и повышению энергоэффективности горного производства [1]. При этом данные требования распространяются не только на период непосредственного ведения добычных работ, но и на период производства работ по восстановлению нарушенных земель.
В горной промышленности имеется положительный опыт строительства и эксплуатации солнечных и ветряных электростанций на территории горнодобывающего предприятия и разрабатываемых месторождений [2]. Однако подавляющее большинство отечественных и зарубежных примеров сводится к реализации возможности установки солнечных панелей и ветрогенераторов на землях, нарушенных горными работами в рамках их рекультивации, или на отдельно отчуждаемых территориях. Поэтому отсутствие научно-методических рекомендаций и технологических решений по рациональному использованию выработанного пространства карьера и пород вскрыши для вовлечения в эксплуатацию источников возобновляемой энергии сдерживает целенаправленное формирование техногенных емкостей и ландшафта в качестве областей концентрации природной энергии и устройств, компенсирующих ее непостоянство [3].
На основе имеющегося положительного зарубежного и отечественного опыта строительства ветрогенераторов и солнечных электростанций на базе отработанных карьеров, законсервированных хвостохранилищ и золоотвалов, а также тенденций к увеличению объема ввода в эксплуатацию альтернативных источников энергии разработка технологических решений по эффективному использованию возобновляемых источников энергии при формировании горнотехнической системы является перспективным направлением повышения полноты и комплексности освоения участка недр Земли. Реализация данных решений обеспечит не только выработку электроэнергии, но и снижение затрат на рекультивацию при возможности ее выполнения в период добычи полезных ископаемых [4].
В связи с этим создание и реализация условий использования возобновляемой энергии непосредственно в процессе добычи полезных ископаемых позволят повысить эффективность добычи, экологическую безопасность горнодобывающих предприятий и комплексность освоения участка недр при одновременной рекультивации нарушенных земель.
Поэтому обоснование конструкции борта карьера и его целенаправленное формирование для установки солнечных панелей и обеспечения возможности совмещения горных работ с их монтажом и эксплуатацией является актуальной научно-практической задачей.
Методы исследования
Обоснование подхода к целенаправленному формированию конструкции откоса верхних уступов борта карьера, обеспечивающей эффективное использование возобновляемой энергии, базируется на анализе опыта строительства и эксплуатации объектов преобразования солнечной энергии, а также горнотехнических сооружений, сформированных в качестве техногенных емкостей и ландшафта. Обоснование конструкции и параметров откоса верхних уступов борта карьера и оценка количественных показателей эффективности ведения горных работ и создаваемой полезной площади инсоляции выполнены на основе математического, каркасного, блочного и имитационного моделирования горнотехнической системы.
Результаты
Достижения современных технологий в области производства, строительства и эксплуатации солнечных панелей и электростанций на их основе позволяют их монтировать практически без ограничений во всех климатических зонах и без достаточной инсоляции 1. Применительно к осваиваемому участку недр использование солнечных панелей ограничивается стадией ведения горных работ. Весь имеющийся опыт реализован в условиях отсутствия добычных работ [5]. Именно влияние негативных факторов взрыва является основным ограничивающим условием, препятствующим совмещению работ по монтажу солнечных панелей и эксплуатации в выработанном пространстве карьера созданных на их основе электростанций.
Эффективность комплексного освоения участка недр при установке на элементах горнотехнической системы солнечной электростанции обеспечивается минимальным сроком ввода ее в эксплуатацию. При этом выполаживание борта карьера в соответствии с заданной конструкцией и параметрами требует, помимо привлечения дополнительного горнотранспортного оборудования, реализации мероприятий по компенсации снижения производительности карьера по горной массе.
C целью одновременного решения трех задач, обеспечивающих низкие сроки ввода в эксплуатацию солнечных панелей на северном борту карьера, безопасность их монтажа и эксплуатации без прекращения горных работ и исключение снижения производительности карьера по полезному ископаемому, проведены исследования параметров буровзрывной подготовки горных пород к выемке при обеспечении безопасности охраняемых зон. При этом охраняемыми зонами являются верхние уступы карьера, на которых планируется установить солнечную электростанцию. С точки зрения опасных факторов взрыва для монтируемых солнечных панелей особую опасность представляет разлет кусков горной породы при производстве массовых взрывов вблизи верхних уступов северного борта карьера. Поэтому предложены и обоснованы мероприятия, обеспечивающие снижение трудоемкости классических решений, направленных на снижение зоны разлета кусков, к которым, как правило, относится укрытие непосредственно охраняемого объекта, а также укрытие места взрыва [6].
Рис. 1 Принципиальная схема к расчету минимального безопасного расстояния ведения БВР от участка с установленными солнечными панелями при уступной отбойке (а) и проходке траншеи (б): l' – расстояние от центра заряда до откоса уступа; l'' – расстояние от центра заряда до устья скважины; ЛСПП (W) – наименьшая линия сопротивления по подошве; lзаб – длина забойки; lзар – длина заряда; lпер – длина перебура; lскв – длина скважины
Fig. 1 A schematic diagram for calculating the minimum safe distance from the site with the installed solar panels when conducting the drilling and blasting operations in the bench blasting (а) and trenching(б): l' – the distance from the center of the charge to the bench slope; l'' – the distance from the center of the charge to the borehole collar; ЛСПП (W) – the line of least resistance along the foot wall; lзаб – the length of stemming; lзар – the сharge length; lпер – the overdrill distance; lскв – the borehole depth
С целью определения минимального расстояния от верхних уступов северного борта карьера с установленными солнечными панелями, на котором возможно вести горные работы с применением буровзрывных работ с учетом разности отметок горизонтов, разработана методика расчета минимального безопасного расстояния ведения БВР по разлету кусков 2. Принципиальная схема к расчету минимального безопасного расстояния ведения БВР от участка с установленными солнечными панелями представлена на рис. 1.
Расчет минимального безопасного расстояния ведения БВР от участка с установленными солнечными панелями по разлету кусков базируется на минимальном разрешенном расстоянии3 [7] при ведении массовых взрывов в 200 м. Согласно схеме на рис. 2 наиболее вероятное направление прорыва продуктов детонации и, как следствие, разлета осколков горных пород при взрыве [8] возможно описать двумя условиями:
В сторону устья скважины
(1)
В грудь забоя
(2)
В соответствии с описанными формулами (1) и (2) условиями прорыва продуктов детонации, а также минимальными требованиями по разлету кусков в 200 м в работе определена первоначальная скорость полета куска для наиболее распространенных параметров БВР на месторождениях Южного Урала:
– высота уступа hу = 10 м;
– глубина вертикальных скважин Lс = 11,5–12 м;
– диаметр скважин dс = 0,165–0,220 м;
– (мб длина) перебур lп = 1,5–2,0 м;
– сетка скважин a × b = 5 × 5 и 6,0 × 6,0 м;
– угол откоса уступа αу = 70 град;
– линия сопротивления по подошве уступа W = 6 м;
– масса заряда в скважине Qс = 123–304 кг;
– длина заряда в скважине lз = 5,5–8,0 м;
– вместимость 1 м скважины при Р = 21,4–38,0 кг/м;
– коэффициент заполнения скважины зарядом ɳз = lз / Lс = 0,45–0,65;
– относительное расстояние между скважинами a* = a / d = 6/0,220–5/0,165 = 27,3–30,2;
– длина надзарядной (свободной от заряда) части скважины lсв = Lс – lз = 4,0–6,0 м;
– коэффициент заполнения забойкой части скважины над зарядом ɳзаб = hзаб / lсв = 1, т.е. hзаб = lсв = 4,0–6,0 м. В качестве забойки применяется буровая мелочь;
– коэффициент крепости взрываемых пород по М.М. Протодьяконову f = 9–14.
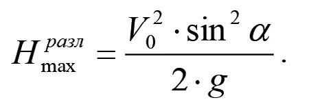
Охраняемая зона при производстве взрывных работ на одном или на нижележащих горизонтах вблизи северного борта карьера с учетом установки на нем солнечных панелей определяется не только первоначальной скоростью куска, но и максимальной высотой его полета [9; 10]. Схема к расчету максимальной высоты разлета осколков взрыва представлена на рис. 2.
Рис. 2 Схема к расчету максимальной высоты разлета осколков взрыва: ∆R’ – сокращение нормативного размера охранной зоны с учетом траектории разлета осколков взрыва и результирующего угла откоса
Fig. 2 A schematic diagram for calculating the maximum height of the flyrock travel: ∆R’ – reduction of the standard size of the safety zone with account of the flyrock travel path and the resulting slope angle
Разлет кусков горной массы происходит по баллистической траектории в условиях действия гравитации, поэтому систему уравнений для определения максимальной высоты и дальности их полета можно представить в следующем виде:
(3)
где V0 – первоначальная скорость полета куска, м/с; α – угол вылета куска, град; g – ускорение свободного падения, м/с2.
В результате решения системы уравнений (3) возможно определить первоначальную скорость полета куска горной массы
(4)
По минимальной зоне разлета кусков, равной 200 м, и наиболее часто используемых параметров БВР на карьерах Южного Урала установлены минимальные первоначальные скорости разлета осколков взрыва при различных углах вылета 4 (табл. 1).
Таблица 1 Минимальные первоначальные скорости разлета осколков взрыва
Table 1 The minimum initial velocity of the flyrocks
С учетом минимальной первоначальной скорости разлета максимальная высота осколков взрыва может быть определена по формуле
(5)
Результаты расчета минимальной первоначальной скорости разлета и максимальной высоты осколков взрыва представлены в табл. 2.
Таблица 2 Минимальная первоначальная скорость разлета и максимальная высота осколков взрыва
Table 2 The minimum initial velocity and the maximum height of the flyrocks 
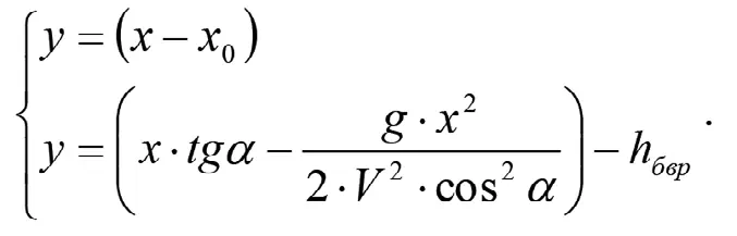
Схема к расчету минимальной охраняемой зоны с учетом ведения буровзрывных работ на одном или нижележащем горизонте, совмещенная с декартовой системой координат, представлена на рис. 3.
Рис. 3 Схема к расчету охраняемой зоны разлета кусков взрыва: hбвр – разница высотных отметок нижней бровки охраняемого уступа и горизонта ведения БВР, м; γ – результирующий угол верхних уступов северного борта карьера, град
Fig. 3 A schematic diagram for calculation of the flyrock safety zone: hбвр – the difference in the elevations of the lower edge of the protected bench and the drilling and blasting level, m; γ – the resulting angle of the upper benches of the northern pit wall, deg.
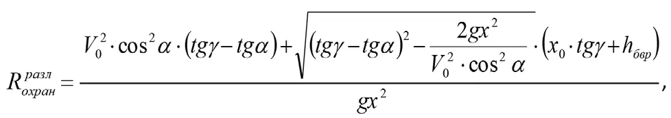
Сокращение величины нормативного размера охранной зоны с учетом траектории разлета осколков взрыва и результирующего угла откоса определяется по формуле .
(6)
С целью нахождения точки пересечения траектории разлета кусков горной массы при взрыве с линией результирующего угла откоса верхних уступов борта карьера в декартовой системе координат следует представить в виде системы уравнений соответствующих линий
(7)
Расчет охраняемой зоны при монтаже и эксплуатации солнечных панелей с учетом ведения буровзрывных работ на одном или нижележащем горизонте следует производить по формуле
(8)
где xo – расстояние от места взрыва до нижней бровки охраняемого уступа, м. Результаты исследования размера охранной зоны от результирующего угла откоса верхних уступов борта карьера и разницы высотных отметок нижней бровки охраняемого уступа и горизонта ведения БВР представлены на рис. 4.
Рис. 4 Зависимость охраняемой зоны от результирующего угла откоса (а) и разницы высотных отметок нижней бровки охраняемого уступа и горизонта ведения БВР (б)
Fig. 4 The dependence of the safety zone from the resulting slope angle (а) and the difference in the elevations of the lower edge of the protected bench and the drilling and blasting level (б)
В результате исследований выявлено, что при установке солнечных панелей на верхних уступах борта карьера их безопасная эксплуатация при ведении буровзрывных работ без специальных мероприятий возможна на расстоянии 90 м и более в зависимости от конструкции откоса борта. При этом по мере понижения горных работ размер минимальной охранной зоны снижается до 40 м.
Список литературы
1. Пыталев И.А. Обоснование параметров открытой геотехнологии комплексного освоения крутопадающих месторождений для устойчивого развития горнотехнических систем [дис. … д-ра техн. наук]. Магнитогорск; 2019. 360 с.
2. Юн А.Б., Рыльникова М.В., Терентьева И.В., Юн Ю.А. Стратегия комплексного освоения природных и техногенных георесурсов Жезказганского региона. Известия Тульского государственного университета. Науки о Земле. 2019;(3): 213–224. Yun A.B., Rylnikova M.V., Terentyeva I.V., Yun Yu.A. Strategy for comprehensive development of natural and anthropogenic geo-resources of the Zhezkazgan region. Izvestiya Tulskogo Gosudarstvennogo Universiteta. Nauki o Zemle. 2019;(3):213– 224. (In Russ.)
3. Трубецкой К.Н., Захаров В.Н., Каплунов Д.Р., Рыльникова М.В. Эффективные технологии использования техногенных георесурсов – основа экологической безопасности освоения недр. Горный журнал. 2016;(5):34–40. https://doi.org/10.17580/gzh.2016.05.03 Trubetskoy K.N., Zakharov V.N., Kaplunov D.R., Rylnikova M.V. Efficient technologies for mineral waste use – The basis of the environmental safety of subsoil development. Gornyi Zhurnal. 2016;(5):34–40. (In Russ.) https://doi.org/10.17580/gzh.2016.05.03
4. Пыталев И.А., Якшина В.В., Козловский А.А., Полинов А.А. Обоснование системы разработки с внутренним отвалообразованием при освоении крутопадающего месторождения Курасан. Рациональное освоение недр. 2022;(4):34–38. https://doi.org/10.26121/RON.2022.78.94.005 Pytalev I.A., Yakshina V.V., Kozlovsky A.A., Polinov A.A. Justification of the mining method with inside dumping during the development of the steeply dipping Kurasan deposit. Ratsionalnoe Osvoenie Nedr. 2022;(4):34–38. (In Russ.) https://doi.org/10.26121/RON.2022.78.94.005
5. Степаненко В.П., Мальшаков И.Н. Перспективы применения в горной промышленности суперконденсаторных накопителей и возобновляемых источников энергии. Горный информационно-аналитический бюллетень. 2017;(6):153–163. Режим доступа: https://giab-online.ru/files/Data/2017/6/153_163_6_2017.pdf (дата обращения: 27.05.2025). Stepanenko V.P., Mal’shakov I.N. Prospects for supercapacitors and renewable energy sources in mining industry. Mining Informational and Analytical Bulletin. 2017;(6):153–163. (In Russ.) Available at: https://giab-online.ru/files/Data/2017/6/153_163_6_2017.pdf (accessed: 27.05.2025).
6. Доможиров Д.В. Развитие методологии управления качеством минерального сырья путем разработки технологии и обоснования параметров подготовки к выемке горных пород сложноструктурных месторождений [дис. … д-ра техн. наук]. Магнитогорск; 2023. 352 с.
7. Черских О.И., Галимьянов А.А., Корнеева С.И., Мишнев В.И. Уточненная формула для определения радиуса опасной зоны по разлету отдельных кусков горной массы при взрывании скважинных зарядов. Уголь. 2023;(5):50–54. https://doi.org/10.18796/0041-5790-2023-5-50-54 Cherskikh O.I., Galimyanov A.A., Korneeva S.I., Mishnev V.I. Refined formula for determining the radius dangerous zone for the scattering of individual pieces of rock mass during the explosion of borehole charges. Ugol’. 2023;(5):50–54. (In Russ.) https://doi.org/10.18796/0041-5790-2023-5-50-54
8. Сашурин А.Д., Панжин А.А., Мельник В.В. Обеспечение устойчивости бортов карьеров в целях защиты потенциально опасных участков транспортных берм. Вестник Магнитогорского государственного технического университета им. Г.И. Носова. 2016;14(3):5–12. https://doi.org/10.18503/1995-2732-2016-14-3-5-12 Sashourin A.D., Panzhin A.A., Melnik V.V. Securing open-pit walls for protection of hazardous areas of haulage benches. Vestnik of Nosov Magnitogorsk State Technical University. 2016;14(3):5–12. (In Russ.) https://doi.org/10.18503/1995-2732-2016-14-3-5-12
9. Gui Y.L., Zhao Z.Y., Jayasinghe L.B., Zhou H.Y., Goh A.T.C., Tao M. Blast wave induced spatial variation of ground vibration considering field geological conditions. International Journal of Rock Mechanics and Mining Sciences. 2018;101:63–68. https://doi.org/10.1016/j.ijrmms.2017.11.016
10. Thang D.T., Doanh T.V., Viet T.D., Tho T.D.: Study on the reasonable parameters of the cylinder shaped charge with tapered liner funnel to destroy stone. In: International Symposium on Rock Mechanics and Engineering. The 35th VSRM Anniversary ISRM 2019 Specialized Conference, 22–24 November 2019. Hanoi, 2019, pp. 118–130.










