Математическое моделирование деформационных процессов на газонефтяном месторождении Центральной Азии
Д.К. Кузьмин
Институт физики Земли им. О.Ю. Шмидта Российской академии наук, г. Москва, Российская Федерация
Горная Промышленность №6/ 2025 стр. 211-215
Резюме: В статье представлен анализ деформационных процессов, происходящих на одном из газонефтяных месторождений в Центральной Азии. С использованием методов математического моделирования выполнены расчёты площадных вертикальных и горизонтальных смещений земной поверхности, охватывающих территорию всего месторождения. Определены градиенты смещений – наклоны и относительные горизонтальные деформации, которые позволяют дать формализованную оценку уровня потенциальной геодинамической опасности для объектов наземной и подземной инфраструктуры, размещенных в пределах данного месторождения. Расчёты выполнены на основе геомеханической пороупругой модели «деформируемого пласта», которая на протяжении последних 25 лет успешно применялась на ряде нефтегазовых месторождений и демонстрировала высокую степень согласованности с результатами натурных наблюдений. Впервые для газонефтяного месторождения подобного типа в данной работе представлен полный комплекс модельных расчетов, включая все основные компоненты деформационного поля. При построении модели были учтены все последние усовершенствования и уточнения, внесенные в геодинамическую концепцию пороупругой среды, что позволило существенно повысить детализацию и достоверность получаемых результатов. Анализ результатов модельных построений показал, что области с максимальными значениями, формирующие потенциально опасные деформации, концентрируются в окрестности границ горного отвода. На этом основании подчёркивается необходимость оптимизации и возможной реконфигурации сети геодинамических наблюдений при дальнейшем развитии месторождения с целью повышения точности прогноза и предотвращения техногенных рисков на этапе интенсивной эксплуатации.
Ключевые слова: смещения земной поверхности, деформации земной поверхности, деформационные процессы, математическое моделирование, геодинамическая опасность
Благодарности: Работа выполнена в рамках государственного задания Института физики Земли им. О.Ю. Шмидта РАН.
Для цитирования: Кузьмин Д.К. Математическое моделирование деформационных процессов на газонефтяном месторождении Центральной Азии. Горная промышленность. 2025;(6):211–215. https://doi.org/10.30686/1609-9192-2025-6-211-215
Информация о статье
Поступила в редакцию: 07.09.2025
Поступила после рецензирования: 23.10.2025
Принята к публикации: 29.10.2025
Информация об авторе
Кузьмин Дмитрий Кузьмич – кандидат технических наук, научный сотрудник, Институт физики Земли им. О.Ю. Шмидта Российской академии наук, г. Москва, Российская Федерация; e-mail: Адрес электронной почты защищен от спам-ботов. Для просмотра адреса в вашем браузере должен быть включен Javascript.
Введение
Анализ геодинамических процессов при длительной разработке нефтяных и газовых месторождений по-прежнему является одной из главных задач исследователей и производственников по всему миру. Особенно актуальным этот вопрос становится (является) в нашей стране, где горная промышленность развита настолько сильно, что составляет около 17% от общего ВВП страны. Известно, что длительная разработка месторождений нефти и газа может сопровождаться различными негативными экологическими и экономическими последствиями. Анализом геодинамических последствий разработки месторождений и эксплуатации объектов подземного хранения и захоронения, в первую очередь обширных просадок земной поверхности и деформационной активности различных зон, занимались многие отечественные и зарубежные ученые [1–9].
Чтобы оценивать уровень геодинамической опасности при разработке месторождений обычно организовывают и проводят геодезический мониторинг земной поверхности. Однако для проектирования и оптимизации систем наблюдений необходимо проводить предварительные оценки возможных аномальных деформаций. В этом случае используют различные методы математического моделирования [1; 2; 5; 6; 10–13].
Для того чтобы заниматься моделированием смещений и деформаций земной поверхности и сопоставлять их с результатами реальных наблюдений, исследователю необходимо ознакомиться с данными о месторождении. Вместе с тем законодательством нашей страны предусмотрена административная или уголовная ответственность за публикацию геодезических данных или сведений о месторождении, которые авторы используют в своих работах, без разрешения со стороны правообладателя этих данных. Тем не менее часто можно встретить работы, где объект исследования представлен без наименования, географического положения и привязки к абсолютным координатам. Автор данной работы такую практику поддерживает, потому как в научном сообществе все понимают, что чем больше апробации разрабатываемых методов на реальных объектах недропользования, тем скорее наука движется к совершенству по данному направлению.
В данной статье объектом исследования является одно из действующих газонефтяных месторождений, которое расположено в Центральной Азии. Многопластовая структура месторождения состоит из залежей меловых и юрских отложений. По типу резервуара они относятся к пластовым, сводовым, с элементами тектонического и литологического экранирования. Глубины залегания продуктивных горизонтов изменяются от 1060 до 1270 м. Продуктивный разрез сложен песчаниками и алевролитами с пределами эффективных толщин по горизонтам до 12 м.
В работе [14] по данному месторождению был приведен анализ результатов наземных и спутниковых повторных геодезических наблюдений по данным на 2018 г., а также построены модельные смещения земной поверхности. Результаты моделирования были сопоставлены с реальными наблюдениями, которые проводились с использованием методики нивелирования II класса повышенной точности для определения вертикальной компоненты смещений, а также повторных высокоточных GPS-измерений для определения горизонтальных смещений. В той статье, как и во многих последующих, автор использует аналитическую модель деформируемого пласта, которая была основана в 1999 г. Ю.О. Кузьминым [1] и неоднократно использовалась при оценке геодинамической опасности других нефтегазовых месторождений, в том числе шельфовых и ПХГ [15–18]. Согласованность результатов аналитических решений и наблюдаемых данных была достигнута при изменении пластового давления за период 2012–2018 гг. на ΔP = 10 МПа.
С тех пор прошло 7 лет, добыча на месторождении продолжается, геомеханическая модель, используемая авторами, за это время была усовершенствована введением новых характеристик, например, получены формулы для 3-d распределения градиентов смещений (наклонов и относительных горизонтальных деформаций земной поверхности), которые учитывают во времени динамику изменения петрофизических свойств в окрестности пласта [13].
В данной статье автор предлагает на базе математического моделирования дать оценку геодинамической опасности данного месторождения на 2025 г., приведя расчеты не только вертикальных и горизонтальных смещений, но и относительных горизонтальных и вертикальных деформаций в пределах горного отвода.
Материалы и методы
C 1 сентября 2023 г. приказом Ростехнадзора от 19.05.2023 г. №186 установлены правила осуществления маркшейдерской деятельности. В пункте 80 настоящего документа прописано следующее: «При наличии вероятности сдвижения массива горных пород и земной поверхности, в результате которого возможна деформация объектов капитального строительства, расположенных на территории горного отвода, в его границах организуются наблюдения на геодинамическом полигоне за процессами сдвижения массива горных пород и земной поверхности».
Оценить эту самую вероятность сдвижения массива горных пород и земной поверхности возможно, если аналитически рассчитать сдвижения земной поверхности, которые могут возникнуть при разработке месторождения. Также с помощью модели деформируемого пласта можно рассчитать и деформации земной поверхности, которые, в свою очередь, воздействуют и на объекты капитального строительства, расположенные на территории горного отвода. Для этого необходимо располагать геометрическими и петрофизическими параметрами месторождения.
Геометрическая структура продуктивных горизонтов данного месторождения обуславливается размерами 18х7 км, со средней глубиной залегания 1,2 км. Эффективная мощность продуктивных горизонтов в среднем составляет 60 м. Петрофизические испытания позволили выявить среднее значение пористости m = 23%, а также принять коэффициент сжимаемости порового пространства Сp = 5 · 10-3 1/МПа.
Изменение пластового давления за период 2012–2018 гг. составляло ΔP = 10 МПа. Если предположить, что режим добычи остается прежним, то к 2025 г. пластовое давления также изменится на ΔP = 10 МПа относительно 2018 г.
Используя эти параметры месторождения, на основе модели деформируемого пласта в данной статье рассчитаны смещения и деформации земной поверхности в пределах горного отвода.
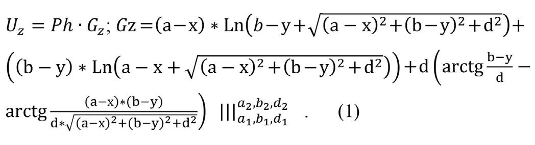
Формула для 3-d распределения вертикальных смещений земной поверхности:

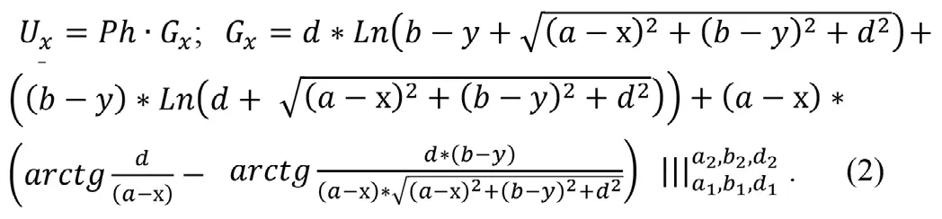
Формула для 3-d распределения горизонтальных смещений земной поверхности:

Переменные a, b, d в формулах соответствуют полуширине, полудлине и глубинному интервалу модели пласта, как это показано на рис. 1.
Физический сомножитель в формулах (1) и (2)
, где m –коэффициент пористости; Cp - коэффициент сжимаемости порового пространства; ν – коэффициент Пуассона; ΔP – изменение пластового давления.
Дифференцирование каждой из формул (1) и (2) по dx и dy, а затем вычисление модуля полного вектора
дают возможность получить формулы для распределения градиентов смещений – наклонов (горизонтальный градиент вертикальных смещений) и относительных горизонтальных деформаций (горизонтальный градиент горизонтальных смещений). Конечные формулы в полной записи (после подстановки пределов интегрирования) здесь не представлены по причине неприлично большого объема. Подробно расписанные формулы представлены в одной из работ автора [13].

Рис. 1 Модельный аналог пласта
Fig. 1 Model analogue of the formation
Результаты
Распределения вертикальных и горизонтальных смещений земной поверхности при разработке данного газонефтяного месторождения, смоделированные на основе вышеприведенных параметров и расчете формул, за период 2018–2025 гг. представлены в площадном виде на рис. 2 совместно с контуром горного отвода.

Рис. 2 Распределение модельных вертикальных (а) и горизонтальных (б) смещений земной поверхности за период 2018–2025 гг.
Fig. 2 Distribution of the simulated vertical (а) and horizontal (б) displacements of the earth's surface over the period of 2018–2025
Как видно из рис. 2, вертикальные смещения земной поверхности при условии изменения пластового давления на ΔP = 10 МПа в пределах горного отвода будут иметь значения порядка 3–4 см. Максимальные горизонтальные смещения сконцентрированы вдоль границы горного отвода в направлении простирания пласта. Соответственно, там, где вертикальные смещения максимальны, горизонтальные смещения отсутствуют. Такая предварительная оценка позволяет в процессе разработки месторождения оптимизировать системы наблюдений. Например, в данном случае следует расширить наблюдательную сеть во все стороны на расстояния по 5 км от границ горного отвода. Это позволит фиксировать превышения земной поверхности в процессе эксплуатации месторождения относительно неподвижных пунктов, расположенных на таких расстояниях, куда не распространяются деформации, возникающие при разработке продуктивных горизонтов.
Однако по результатам смоделированных вертикальных и горизонтальных смещений земной поверхности нельзя дать оценку промышленной безопасности объектов инфраструктуры месторождения. Для этого вычисляют относительные деформации земной поверхности и сравнивают с нормативными показателями [19], а также вычисляют скорость этих деформаций.
На рис. 3 приведены площадные графики распределения наклонов и относительных горизонтальных деформаций земной поверхности, то есть градиентов вертикальных и горизонтальных смещений.

Рис. 3 Распределение модельных градиентов смещений земной поверхности за период 2018–2025 гг.: а – наклоны; б – относительные горизонтальные деформации
Fig. 3 Distribution of the simulated gradients of the Earth’s surface displacements over the period of 2018–2025: (a) – inclines; (б) – relative horizontal deformations
Как видно, значения наклонов и относительных горизонтальных деформаций имеют значения порядка 10-5 за период 7 лет. Эти деформации не являются опасными, так как имеют очень маленькие скорости, однако к 2035 г. при таком же режиме разработки уровень деформаций может достигнуть порядка 104. Известно, например, что порог разрушения при растягивающем напряжении для известняка на глубине 1 км составляет около 5 МПа, а это соответствует относительной деформации порядка 5·104.
Следует также отметить, что в данном случае все зоны с максимальным перепадом величин (красные области на рис. 3) не вписываются в границы горного отвода, а выходят за его пределы, на что тоже требуется обратить внимание при оптимизации сети наблюдений.
Заключение
Описанный выше механизм по выявлению областей потенциальной геодинамической опасности был апробирован не только на примерах нефтегазоносных пластов, но и для зон активных разломов, где опасные деформации встречаются гораздо чаще [15; 16]. Рассчитанные на основе данной аналитической модели градиенты смещений земной поверхности предоставляют наиболее достоверную оценку геодинамической опасности на территории месторождения.
Вместе с тем одним из главных методов для получения информации о деформационных процессах в окрестности разрабатываемого месторождения является геодинамический мониторинг [17]. Нивелирная сеть наблюдений дает представление о вертикальных движениях земной поверхности, а с помощью GPS-измерений, как правило, регистрируют горизонтальные смещения во времени. Как показывает опыт, геомеханическое моделирование при этом служит надежным инструментом при интерпретации данных геодезических измерений. Модельные построения позволяют не только уточнить данные наблюдения, но и определить природу источника, формирующего деформационные процессы.
На рассматриваемом месторождении верхняя часть структуры продуктивных пластов представлена газовой шапкой. Возникновения опасных деформаций при разработке данного месторождения могут привести к активизации зон разломов, которые, в свою очередь, могут послужить субвертикальными каналами для миграции газа вверх в сторону земной поверхности, что также является повышенным риском экологической опасности. Но, как показали расчеты в данной статье, действующий режим добычи не приводит к опасным деформациям. На это в первую очередь оказывают влияние довольно большая глубина продуктивных залежей и сравнительно маленькая по отношению к ней толщина продуктивных пластов. Последующий контроль за уровнем изменения пластового давления позволит и далее эксплуатировать данное газонефтяное месторождение с минимальным геодинамическим риском.
Список литературы
1. Кузьмин Ю.О. Современная геодинамика и оценка геодинамического риска при недропользовании. М.: Агентство экономических новостей; 1999. 220 с.
2. Кашников Ю.А., Ашихмин С.Г. Механика горных пород при разработке месторождений углеводородного сырья. 2-е изд. М.: Горная книга; 2019. 496 с. Режим доступа: https://www.geokniga.org/books/20858 (дата обращения: 05.04.2025).
3. Кафтан В.И., Кузнецов Ю.Г., Серебрякова Л.И., Верещетина А.В. Карта скоростей вертикальных движений земной поверхности прикаспийского региона. Геодезия и картография. 1995;(12):18–21.
4. Татаринов В.Н. Геодинамическая безопасность на объектах ядерного топливного цикла России. Использование и охрана природных ресурсов в России. 2006;(1):46–51.
5. Geertsma J. Land subsidence above compacting oil and gas reservoirs. Journal of Petroleum Technology. 1973;25(6):734–744. https://doi.org/10.2118/3730-PA
6. Cornelissen P., Jansen J.-D. Steady-state flow through a subsurface reservoir with a displaced fault and its poro-elastic effects on fault stresses. Transport in Porous Media. 2023;150(3):709–734. https://doi.org/10.1007/s11242-023-02029-w
7. Andrés S., Santillán D., Mosquera J.C., Cueto-Felgueroso L. Rupture directivity and poroelastic coupling in earthquakes induced by fluid injection. Engineering Fracture Mechanics. 2025;322:111123. https://doi.org/10.1016/j.engfracmech.2025.111123
8. Walsh J.B. Subsidence above a planar reservoir. Geodesy and Gravity / Tectonophysics. 2002;107(B9):ETG 6-1–ETG 6-9. https://doi.org/10.1029/2001JB000606
9. Zoback M.D. Reservoir geomechanics. Cambridge: Cambridge University Press; 2007. 449
10. Barbosa V.C.F., Oliveira V.C. Jr, Arelaro A.D., Borges F.A.S. 3D displacement and stress fields of compacting reservoir: alternative solutions. Brazilian Journal of Geophysics. 2022;40(Suppl. 1):7–19. https://doi.org/10.22564/brjg.v40i5.2139
11. Cornelissen P., Meulenbroek B.J., Jansen J.D. On the derivation of closed‐form expressions for displacements, strains, and stresses inside poroelastic reservoirs. Journal of Geophysical Research: Solid Earth. 2024;129(2):e2023JB027733. https://doi.org/10.1029/2023JB027733
12. Кузьмин Д.К. Метод вычислений градиентов смещений земной поверхности для оценки геодинамической опасности объектов нефтегазового комплекса. Геофизические процессы и биосфера. 2024;23(3):78–98. https://doi.org/10.21455/GPB2024.3-7
13. Абрамян Г.О., Кузьмин Д.К., Ломоносов М.Д. Анализ современных деформационных процессов на газонефтяном месторождении Центральной Азии. Наука и технологические разработки. 2022;101(3):20–32. https://doi.org/10.21455/std2022.3-3
14. Кузьмин Ю.О. Современная геодинамика системы разломов. Физика Земли. 2015;(4):25–30. https://doi.org/10.7868/S0002333715040055
15. Кузьмин Ю.О. Современные объемные деформации разломных зон. Физика Земли. 2022;(4):3–18.
16. Кузьмин Ю.О. Проблемные вопросы изучения деформационных процессов в современной геодинамике. Горный информационно-аналитический бюллетень. 2008;(3):98–107. Режим доступа: https://giab-online.ru/files/Data/2008/4/4_Kuzmin2.pdf (дата обращения: 05.04.2025).
17. Конырбаев Д.К., Кузьмин Ю.О., Кузьмин Д.К., Шыракбаев Д.А., Суесинов Д.Ж. Анализ результатов геодинамического мониторинга на месторождении п-ова Бузачи, республика Казахстан. Геофизические процессы и биосфера. 2023;22(3):110–141. Режим доступа: https://static.ifz.ru/10.21455/GPB2023.3-5 (дата обращения: 05.04.2025).
18. Пучков Л.А. (ред.) Маркшейдерская энциклопедия. М.: Мир горной книги; 2006. 605 с. Режим доступа: https://www.geokniga.org/books/5235 (дата обращения: 05.04.2025).










