Взаимосвязь водопритоков в горные выработки и сейсмичности удароопасного Ловозерского редкометалльного месторождения
A.И. Калашник
Горный институт Кольского научного центра Российской академии наук, г. Апатиты, Российская Федерация
Горная Промышленность №3 / 2025 стр.132-137
Резюме: Ловозерское месторождение, расположенное в арктической зоне, представлено двумя пологими согласно залегающими залежами редкоземельных и редкометалльных руд, разрабатываемыми рудником «Карнасурт». Вмещающие и рудосодержащие породы являются удароопасными, что предопределяет постоянную необходимость решения задач геодинамической безопасности при ведении горных работ. Вместе с тем выработки рудника характеризуются высокими водопритоками, оказывающими существенное влияние на ведение горных работ. Основной целью данного исследования являлось выявление взаимосвязи водопритоков в горные выработки и сейсмичности массива пород Ловозерского редкометалльного месторождения. Выполнена статистическая обработка объемов воды, собираемой рудником, за 4 года с оценкой усредненной динамики изменения водооткачки по месяцам в течение календарного года. Рассмотрены факторы, определяющие поступление воды в горные выработки рудника. Выявлены тенденции водопритоков, связанные с арктическими сезонными климатическими изменениями. Выполнен анализ зафиксированных сейсмостанцией рудника сейсмических событий, в результате которого события классифицированы по выделяемой энергии и сфокусированы по сезонам календарного года. Установлена взаимосвязь числа и мощности сейсмических событий с интенсивностью водопритоков в горные выработки. Полученные результаты подтверждаются графическими и эмпирико-аналитическими зависимостями и данными инструментальных натурных наблюдений. Дана рекомендация по необходимости учета выявленных зависимостей для целей обеспечения геодинамической безопасности ведения горных работ на руднике «Карнасурт», выработки которого подвергаются обильным водопритокам.
Ключевые слова: Арктика, Ловозерское редкометалльное месторождение, удароопасность, рудник Карнасурт, водопритоки, сейсмичность, геодинамическая безопасность
Благодарности: Исходные данные были подготовлены д-ром техн. наук А.В. Ловчиковым. Автор считает своим долгом выразить благодарность памяти доктора технических наук Ловчикова А.В., которым по заданию и замыслу автора были собраны исходные данные по водопритокам в выработки рудника «Карнасурт» и сейсмичности пород Ловозерского массива. Первоначально статья задумывалась в соавторстве, но в 2023 г. Александр Васильевич безвременно ушел из жизни. Поэтому обработка, анализ, интерпретация и осмысление полученных результатов, формулирование выявленных тенденций, установление взаимосвязи притоков воды в выработанное пространство рудника и сейсмичности пород вмещающего массива, а также написание статьи выполнено автором. Данная статья определенным образом посвящена памяти Ловчикова А.В., внесшего большой вклад в безопасность отработки удароопасного Ловозерского месторождения.
Для цитирования: Калашник A.И. Взаимосвязь водопритоков в горные выработки и сейсмичности удароопасного Ловозерского редкометалльного месторождения. Горная промышленность. 2025;(3):132–137. https://doi.org/10.30686/1609-9192-2025-3-132-137
Информация о статье
Поступила в редакцию: 19.02.2025
Поступила после рецензирования: 10.04.2025
Принята к публикации: 15.04.2025
Информация об авторе
Калашник Анатолий Ильич – кандидат технических наук, ведущий научный сотрудник, руководитель лаборатории геофлюидомеханики, Горный институт Кольского научного центра Российской академии наук, г. Апатиты, Российская Федерация; https://orcid.org/0000-0001-6567-2877, Scopus ID 7004943696, Researcher ID E-3197-2017; e-mail: Адрес электронной почты защищен от спам-ботов. Для просмотра адреса в вашем браузере должен быть включен Javascript.
Введение
Ловозерское месторождение редкоземельных и редкометалльных руд, промышленно сконцентрированных в двух пологопадающих залежах мощностью около одного метра (0,9–1,2 м), разрабатывается рудником «Карнасурт» в удароопасных условиях [1]. Залежи располагаются практически параллельно, с междупластием около 100 м, а их участки, запланированные к отработке, перекрывают друг друга. Месторождение расположено на Кольском полуострове, в арктической зоне Российской Федерации. Отработка месторождения ведется одновременно по обеим залежам с применением камерно-столбовой (панельной) системы разработки.
Первоначально штреками по простиранию залежей нарезаются панели, располагающиеся по вертикальной разметке через 20–40 м, между которыми оставляются ленточные межпанельные целики, ширина которых может составлять 3–10 м. Затем в панелях формируются очистные выработки (блоки), длина которых может составлять от 60 до 100–120 м. Между очистными выработками оставляются также ленточные целики, именуемые междублоковыми [1]. В процессе очистных работ блоках производится сплошная выемка рудной массы из залежей в интервалах промышленных кондиций, в результате чего образуются обнажения горных пород в кровле площадью до 5000–10000 м2.
Поддержание подработанного массива пород осуществляется ленточными межпанельными и межблоковыми целиками. К настоящему времени глубина горных работ на руднике «Карнасурт» составляет около 700 м. Протяженность выработанного пространства с учетом по обеим отрабатываемым залежам достигает почти 6,5 км, общая ширина превышает 1,5 км, что расчетно позволяет судить о суммарной площади выработанных пространств около 10 км2. Эти размеры дают основание считать рудник «Карнасурт» одним из крупнейших рудников на территории российской зоны Арктики. Месторождение по условиям ведения горных работ отнесено к удароопасным и характеризуется повышенной сейсмичностью и проявлениями горно-тектонических ударов [2; 3].
Произошедший в августе 1999 г. сильнейший горно-тектонический удар (по сути, техногенное землетрясение) на руднике Умбозеро привел к разрушению его выработок площадью более 650 тыс. м2. Вследствие этого рудник был фактически полностью разрушен и через какое-то время затоплен водами из поверхностных и подземных источников. При этом в процессе затопления в массиве горных пород происходили сейсмические события. Вопросам влияния обводненности массива на его сейсмическую активность при разработке Хибинских апатитовых месторождений посвящены работы [4; 5]. Исследователями выявлена связь между обводненностью пород вследствие фильтрации вод с поверхности (осадки в виде дождя и снега, половодье при снеготаянии) и сейсмичностью в подземных выработках рудника.
Было показано, что обводненность массива горных пород является значимым фактором, определяющим сезонную интенсивность и количество сейсмических проявлений. В ряде зарубежных работ рассмотрено влияние атмосферных осадков на условия ведения горных работ в Норвегии [6], на распределение афтершоков на руднике Кируна, Швеция [7]. Исследованы изменения запасов подземных вод на механическую реакцию верхней части земной коры в Южных Альпах, Италия [8]. В Китае вопросам откачки рудничных вод посвящены работы [9; 10], механизму формирования и методу прогнозирования притока воды из отдельных слоев при разработке угольных пластов: пример горнодобывающего района Шилавусу [11], прогнозированию и предотвращению опасности прорыва воды из межпластового пространства [12]. Таким образом, выполненный краткий обзор показывает, что водонасыщение пород оказывает существенное влияние на изменения его физического состояния как с точки зрения изменения свойств структурных неоднородностей, так и на инициализацию процессов разрушения сплошности массива пород. Примеры экспериментального подтверждения этого приведены в работах [13; 14]. Однако для условий рудника Карнасурт, разрабатывающего удароопасное месторождение редкометалльных и редковелевых руд, оценка влияния обводненности пород на их склонность к сейсмичности ранее не производилась. Поэтому целью работы являлся анализ взаимосвязи водопритоков в горные выработки рудника «Карнасурт» (как количественных в определенной степени показателей обводненности) и сейсмичности массива пород Ловозерского месторождения.
Методы
При проведении данного исследования применены следующие методы и подходы: информационно-логический анализ российских и иностранных публикаций по воздействию водонасыщенности на сейсмичность массивов горных пород, статистическая обработка рудничных данных о водопритоках в подземные горные выработки, а также о количестве и мощности зафиксированных сейсмостанцией сейсмических событий, расчеты месячных объемов осадков в течение календарного года, сопоставительный анализ данных по осадкам, рудничным водопритокам и сейсмособитий, обоснование и выбор арктических сезонных периодов, применение эмпирических, графических и математических методов для установления взаимосвязи водопритоков в горные выработки и сейсмичности удароопасного Ловозерского редкометалльного месторождения, формально-логический метод для формулирования общих закономерностей.
Результаты
Объемы водопритоков в горные выработки рудника количественно характеризуются данными откачки воды насосами по специальной трубопроводной сети из выработок на поверхность, в отстойник рудничных вод. Для анализа были взяты рудничные данные откачки воды за 4 календарных года, из которых следует, что в среднем за год откачивается около 8000 тыс. м3. В среднем в течение выбранных календарных лет объем водопритоков может составлять 40–110 тыс. м3. С января по май чуть более 50 тыс. м3, с июня по сентябрь может достигать 100 тыс. м3 и более, а в октябре–декабре около 70–90 тыс. м3. Количественные значения дождевых и снеговых осадков на поверхностную территорию рудника «Карнасурт» рассчитаны по данным среднемесячных объемов в течение календарного года1. Определено, что распределение объемов поверхностных осадков по месяцам в течение календарного года носит следующий характер: в январе–апреле объем осадков в виде снега составляет 2500–2700 тыс. м3, с апреля по сентябрь месячные осадки, с преобладанием дождевых, уменьшаются практически линейно с 2700 до 1000 тыс. м3, а в октябре осадки преобладают в виде снега и их объем достигает 2700–3500 тыс. м3 (рис. 1).

Рис. 1 Распределение объемов поверхностных осадков и водопритоков в подземные выработки рудника Карнасурт по месяцам усредненного календарного года
Fig. 1 Distribution of the volume of surface precipitation and water inflows into the underground workings of the Karnasurt mine by months of an average calendar year
Анализ графических зависимостей на рис. 1 позволяет выделить для календарного года следующие сезонные периоды, соответствующие арктическим условиям: «осень–зима» – с октября предыдущего по апрель следующего года (осадки в виде снега, происходит снегонакопление), «весна–лето» – с апреля по июль (снеготаяние и осадки в виде мокрого снега и дождя), «лето–осень» – с июля по сентябрь (осадки в виде дождя в небольших количествах). Такой подход позволил выявить четкую корреляцию по выделенным арктическим сезонным периодам объемов фактических водопритоков в подземные выработки рудника Карнасурт (рис. 2).

Рис. 2 Тенденции изменений водопритоков в горные выработки по выделенным сезонным периодам
Fig. 2 Trends of water inflow to the mine workings by selected seasonal periods
В период «осень–зима» вследствие снижения фильтрации с поверхности объемы водопритоков уменьшаются практически линейно с 900 до 500 тыс. м3. В период «весна–лето» вследствие увеличения фильтрации с поверхности из-за снеготаяния и дождей объемы водопритоков возрастают также практически линейно до 900 тыс. м3, а далее в период «лето–осень» остаются на этом уровне. Ранее в работе [15] рассмотрено влияние водопритоков на прочность пород на одноосное сжатие и растяжение. Установлено, что прочность водонасыщенных пород в сравнении с сухими в среднем снизилась на 20% и более (рис. 3).


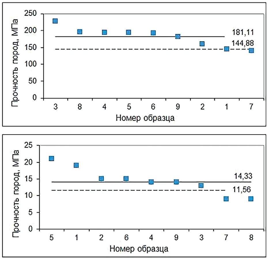
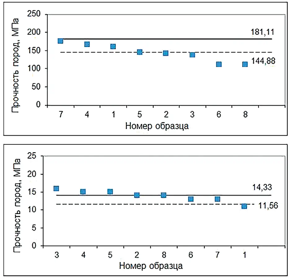
Рис. 3 Результаты исследований пород Ловозерского массива на сжатие (а и б) и на растяжение (в и г): в сухом состоянии (а и в) и в водонасыщенном состоянии (б и г)
Fig. 3 Results of the compression (а and б) and tensile (в and г) tests of the rocks from the Lovozero mass in the dry state (а and в) and in the water saturated state (б and г)
Расчетные средние значения пределов прочности составили: на сжатие – 181,11 МПа, на растяжение – 14,33 МПа, и показаны на рисунке сплошной линией. Расчетные значения снижения на 20% от среднего составили: на сжатие – 144,88 МПа, на растяжение –11,56 МПа, и показаны пунктирной линией. На основании выполненных исследований был сделан вывод о том, что снижение прочности пород как на сжатие, так и на растяжение, вследствие водонасыщения может сказаться на устойчивости как опорных целиков, так и обнажений пород в выработках рудника «Карнасурт», подвергающихся обильному водонасыщению [15]. С другой стороны, это уменьшает склонность пород к хрупкому разрушению. В данной работе основное внимание уделено анализу произошедших сейсмособытий с позиций выявления их возможной взаимосвязи с притоками воды в подземные горные выработки рудника «Карнасурт».
По данным сейсмостанции рудника за выбранные для анализа 4 года наблюдений, ежемесячно фиксируется в среднем от 10 до 20 сейсмособытий с энергией E < 104 Дж, т.е. 100 и более в год (табл. 1). При этом несколько большее число, от 25 до 55, приурочено к месяцам сентябрь–декабрь. В рассматриваемом периоде четырех календарных лет общее количество сейсмособытий составило 584, т.е. в среднем 146 в год. Вместе с тем сейсмостанцией зарегистрировано пять сейсмособытий с энергией Е > 105 Дж, магнитуда которых была выше 1 (табл. 2).
ТТаблица 1 Количество сейсмособытий с энергией Е < 104 Дж, произошедших на руднике Карнасурт в течение рассматриваемых четырех лет
Table 1 The number of the seismic events with the energy Е< 104 J that occurred at the Karnasurt mine during the 4 years under consideration
| Период | 1-й год | 2-й год | 3-й год | 4-й год | Среднее |
|---|---|---|---|---|---|
| Январь | 20 | 10 | 9 | 15 | 13,5 |
| Февраль | 11 | 8 | 3 | 10 | 8 |
| Март | 17 | 5 | 4 | 20 | 11,5 |
| Апрель | 8 | 11 | 7 | 14 | 10 |
| Май | 6 | 3 | 4 | 15 | 7 |
| Июнь | 3 | 8 | 13 | 12 | 9 |
| Июль | 9 | 10 | 8 | 9 | 9 |
| Август | 14 | 12 | 2 | 10 | 9,5 |
| Сентябрь | 10 | 6 | 10 | 25 | 12,75 |
| Октябрь | 7 | 8 | 8 | 43 | 16,5 |
| Ноябрь | 7 | 10 | 16 | 39 | 18 |
| Декабрь | 7 | 8 | 15 | 55 | 21,25 |
| Сумма | 119 | 99 | 99 | 267 |
Количество сейсмособытий 584
Таблица 2 Seismic events with the energy Е > 105 J that occurred at the Karnasurt mine during the 4 years under consideration
| Дата | Магнитуда |
|---|---|
| 17.02.2017 | 1,4 |
| 12.10.2019 | 1,1 |
| 24.12.2019 | 0,9 |
| 03.01.2020 | 1,3 |
| 24.02.2020 | 1,2 |
Следует заметить, что эти события произошли в разные годы, но все фактически в зимний период арктических условий: с октября по февраль. Выявленная тенденция предоставляет основу для более детального анализа распределения сейсмособытий на руднике Карнасурт по выделенным выше арктическим сезонным периодам (рис. 4). Как следует из рис. 4, для периодов «весна–лето» и «лето–осень» интенсивность сейсмособытий примерно одинакова, с относительно невысокими энергетическими характеристиками. Вместе с тем в период «осень – зима» сейсмостанцией зафиксировано как существенно большее число событий, так и единичные события с большей выделенной энергией. Именно в этот период зафиксированы все 5 сейсмособытий с энергией Е > 105 Дж (показаны на рис. 4 звёздочками с указанием магнитуды).

Рис. 4 Тенденции проявления сейсмичности по выделенным сезонным периодам
Fig. 4 Trends in seismicity over selected seasonal periods
Обсуждение результатов
Анализ данных об объемах поверхностных осадков на территорию рудника Карнасурт показывает, что максимальное количество осадков (2500–3000 тыс. м3) выпадает в виде снега с октября по апрель (фактически зимний период). Далее, с апреля по июль (весна–лето) и с июля по сентябрь (лето–осень), количество осадков в виде мокрого снега и дождя линейно уменьшается до 1000 тыс. м3. Таким образом, можно выделить три арктических сезонных периода: «осень–зима», «весна–лето» и «лето–осень». Объемы водопритоков в подземные выработки рудника также могут разделены на эти выделенные периоды, но с обратной зависимостью: в зимний период водопритоки минимальны (500–600 тыс. м3), а в весенне-летний и в летне-осенний возрастатают до 1000 тыс. м3.
Анализ водопритоков по выделенным арктическим сезонам позволяет с высокой достоверностью (R2 ≥ 0,9) определить линейные тенденции изменений их объемов: для периода «осень–зима» y = −60,205x + 860,64 (R2 = 0,9388); для периода «весна–лето» y = 151,96x + 272 (R2 = 0,9238); для периода «лето–осень» y = −11,88x + 885,34 (R2 = 0,9077). Определено, что более высокое водонасыщение пород вследствие водопритоков приводит к снижению их прочностных характеристик, а значит и к снижению склонности к хрупкому разрушению. Кроме того, инфильтрация поверхностных осадков в подземные выработки приводит к определенному вымыванию глинистых прослоек из естественной трещиноватости массива пород и замещению их водой, что служит некоторой «смазкой». Эти обстоятельства обуславливают определенную взаимосвязь водопритоков, как количественных показателей в определенной степени обводненности, в выработки рудника и сейсмичности массива пород.
Анализ числа и энергетической мощности сейсмособытий, зафиксированных сейсмостанцией рудника «Карнасурт», подтверждает, что тенденции их проявлений также четко классифицируются по выделенным арктическим сезонным периодам. Основное количество сейсмособытий с энергией E < 104 Дж, а также все пять сейсмособытий с энергией E > 105 Дж (M ≥ 1) приходятся на период «осень–зима». В периоды «весна–лето» и «лето–осень» число сейсмособытий в целом меньше (в среднем не более 10 в месяц) и их энергетические характеристик невысоки.
Таким образом, проведенное исследование и полученные результаты дают количественные основания для вывода о существующей взаимосвязи водопритоков в выработки рудника «Карнасурт» и сейсмичности вмещающего массива пород. Взаимосвязь подтверждается эмпирическими зависимостями, которые целесообразно учитывать для целей обеспечения геодинамической безопасности отработки удароопасного Ловозерского месторождения редкометалльных и редкоземельных руд.
Заключение
Установлена взаимосвязь водопритоков в выработки рудника Карнасурт и сейсмичности вмещающего Ловозерского массива пород, подтверждаемая выявленными количественными эмпирическими аналитическими и графическими зависимостями. Увеличение водопритоков в арктические весенне-летний и летне-осенний сезоны является определенной смазкой естественных нарушений сплошности массива, приводит к снижению прочностных характеристик и, в целом, к снижению склонности пород к хрупкому разрушению. В осенне-зимний период водопритоки уменьшаются, обуславливая снижение вышеперечисленных эффектов, вследствие чего сейсмичность массива пород возрастает, в том числе с событиями с более высокой высвобождаемой энергией. Установленную взаимосвязь арктической сезонности рудничных водопритоков и сейсмичности массива пород целесообразно учитывать для целей обеспечения геодинамической безопасности подземной отработки удароопасного Ловозерского месторождения редкометалльных и редкоземельных руд.
Сноски
1 Атлас Мурманской области 1971 г.; Доклад о состоянии и об охране окружающей среды Мурманской области в 2022 году. 2023. 151 с.; Климат и средняя погода круглый год в Ревда. Режим доступа: https://ru.weatherspark.com/v98680/Обычная-погода-в-Ревда-Россия-весь-год (дата обращения: 27.03.2024).
Список литературы
1. Козырев А.А., Ловчиков А.В., Бессонов И.И., Панин В.И., Боборыкин В.И., Белов Н.И. и др. Указания по безопасному ведению горных работ на ловозерском месторождении, склонном к горным ударам. Апатиты: Кольский научный центр РАН; 1988. 77 с.
2. Ловчиков А.В. Сильнейший горно-тектонический удар на подземных рудниках и в шахтах России: рудник «Умбозеро», 17 августа 1999 года (магнитуда m = 5, энергетический класс k = 11,8). Апатиты: Изд-во Кольского научного центра РАН; 2022. 127 с. https://doi.org/10.37614/978.5.91137.456.3
3. Адушкин В.В., Ловчиков А.В., Гоев А.Г. О возникновении катастрофического горно-тектонического удара на руднике «Умбозеро» в Ловозёрском массиве в центральной части Кольского полуострова. Доклады Российской академии наук. Науки о Земле. 2022;504(1):85–90. Adushkin V.V., Goev A.G., Lovchikov A.V. The occurrence of a catastrophic rockburst at the Umbozero mine in the Lovozero massif, central part of the kola peninsula. Doklady Earth Sciences. 2022;504(1):305–309. https://doi.org/10.1134/S1028334X22050038
4. Моторин А.Ю., Жукова С.А., Баранов С.В., Шебалин П.Н. Воздействие обводненности среды на продуктивность природно-техногенной сейсмичности (на примере Хибинского массива). Физика Земли. 2024;(2):14–25. https://doi.org/10.31857/S0002333724020025 Motorin A.Y., Zhukova S.A., Baranov S.V., Shebalin P.N. Impact of water saturation of the medium on the productivity of natural-anthropogenic seismicity: A case study of the Khibiny massif. Fizika Zemli. 2024;(2):14–25. (In Russ.) https://doi.org/10.31857/S0002333724020025
5. Козырев А.А., Батугин А.С., Жукова С.А. О влиянии обводненности массива на его сейсмическую активность при разработке апатитовых месторождений Хибин. Горный журнал. 2021;(1):31–36. https://doi.org/10.17580/gzh.2021.01.06 Kozyrev A.A., Batugin A.S., Zhukova S.A. Influence of water content on seismic activity of rocks mass in apatite mining in Khibiny. Gornyi Zhurnal. 2021;(1):31–36. (In Russ.) https://doi.org/10.17580/gzh.2021.01.06
6. Maystrenko Yu.P., Brönner M., Olesen O., Saloranta T.M., Slagstad T. Atmospheric Precipitation and Anomalous Upper Mantle in Relation to Intraplate Seismicity in Norway. Tectonics. 2020;39(9):e2020TC006070. https://doi.org/10.1029/2020TC006070
7. Kozłowska M., Orlecka‐Sikora B., Dineva S., Rudziński Ł., Boskovic M. What governs the spatial and temporal distribution of aftershocks in mining‐induced seismicity: insight into the influence of coseismic static stress changes on seismicity in Kiruna Mine, Sweden. Bulletin of the Seismological Society of America. 2021;111(1):409–423. https://doi.org/10.1785/0120200111
8. Pintori F., Serpelloni E., Longuevergne L., Garcia A., Faenza L., D'Alberto L. et al. Mechanical response of shallow crust to groundwater storage variations: Inferences from deformation and seismic observations in the Eastern Southern Alps, Italy. Journal of Geophysical Research: Solid Earth. 2021;126(2):e2020JB020586. https://doi.org/10.1029/2020JB020586
9. Davis A., Zhan G., Sims N., Metheny M., Whitehead C. Is treatment of mine dewatering water necessary prior to rapid infiltration basin recharge? A case study. Mine Water and the Environment. 2022;41(1):58–73. http://doi.org/10.1007/s10230-021-00839-2
10. Enany P., Shevchenko O., Drebenstedt C. Experimental evaluation of airlift performance for vertical pumping of water in underground mines. Mine Water and the Environment. 2021;40(4):970–979. https://doi.org/10.1007/s10230-021-00807-w
11. Fan K., Li W., Wang Q., Liu S., Xue S., Xie C., Wang Z. Formation mechanism and prediction method of water inrush from separated layers within coal seam mining: A case study in the Shilawusu mining area, China. Engineering Failure Analysis. 2019;103:158–172. https://doi.org/10.1016/j.engfailanal.2019.04.057
12. Wu L., Bai H., Ma D. Prediction and prevention of water inrush hazards from bed separation space. Mine Water and the Environment. 2021;40(3):657–670. https://doi.org/10.1007/s10230-020-00748-w
13. Калашник А.И., Дьяков А.Ю. Оценка нарушенности скальных пород георадарным зондированием с использованием водонасыщения для контрастности. Вестник МГТУ. Труды Мурманского государственного технического университета. 2019;22(1):129–137. Режим доступа: https://vestnik.mauniver.ru/show.shtml?art=2001 (дата обращения: 27.02.2025). Kalashnik A.I., Dyakov A.Yu. Evaluation of rock disturbance by GPR sensing using water saturation for contrast. Vestnik of MSTU. 2019;22(1):129–137. (In Russ.) Available at: https://vestnik.mauniver.ru/show.shtml?art=2001 (accessed: 27.02.2025).
14. Смирнов В.Б., Пономарев А.В., Исаева А.В., Бондаренко Н.Б., Патонин А.В., Казначеев П.А. и др. Флюидная инициация разрушения в сухих и водонасыщенных горных породах. Физика Земли. 2020;(6):86–105. https://doi.org/10.31857/S0002333720060095 Smirnov V.B., Isaeva A.V., Bondarenko N.B., Potanina M.G., Ponomarev A.V., Patonin A.V. et al. Fluid initiation of fracture in dry and water saturated rocks. Izvestiya, Physics of the Solid Earth. 2020;56(6):808–826. https://doi.org/10.1134/S1069351320060099
15. Калашник А.И. Влияние водопритоков на прочностные характеристики пород Ловозерского редкометалльного месторождения. Горные науки и технологии. 2024;9(4):387–394. https://doi.org/10.17073/2500-0632-2023-09-160 Kalashnik A.I. Effect of water inflows on the strength characteristics of the Lovozero rare-metal deposit rocks. Mining Science and Technology (Russia). 2024;9(4):387–394. https://doi.org/10.17073/2500-0632-2023-09-160










