Разработка научных принципов для проектирования многопоточного реверсивного эжектора, оснащенного поворотным соплом
Ю.А. Сазонов, М.А. Мохов, И.В. Грязнова, В.В. Воронова, Х.А. Туманян
Российский государственный университет нефти и газа имени Губкина, г. Москва, Российская Федерация
Russian Mining Industry №5/ 2025 p. 146-151
Резюме: Струйные системы управления нашли широкое применение при решении практических задач во многих отраслях производства, включая добычу и транспортировку жидких и газообразных углеводородов. В отличие от традиционных эжекторов при использовании многопоточного реверсивного эжектора появляются уникальные возможности для эффективного распределения энергии по различным каналам и по любым направлениям в рамках трехмерного пространства. В статье рассматриваются варианты струйных систем управления с использованием поворотного сопла и интеллектуальных сопловых аппаратов c применением CFD-технологии. Предложены новые научные принципы для проектирования многопоточного реверсивного эжектора при контролируемом распределении энергии по каналам эжектора, в том числе с использованием поворотного диффузора в модернизированном сопле Лаваля. Результаты проведенных работ главным образом используются для развития научных исследований и опытно-конструкторских работ при создании энергоэффективных технологий добычи нефти и газа. Отдельные результаты исследований могут быть использованы для создания перспективной робототехники различного назначения.
Ключевые слова: многопоточный эжектор, поворотное сопло, эффект Эйлера, камера смешения, CFD-технологии
Благодарности: Исследование проведено при финансовой поддержке Министерства образования и науки Российской Федерации в рамках выполнения государственного задания FSZE-2023-0004.
Для цитирования: Сазонов Ю.А., Мохов М.А., Грязнова И.В., Воронова В.В., Туманян Х.А. Разработка научных принципов для проектирования многопоточного реверсивного эжектора, оснащенного поворотным соплом. Горная промышленность. 2025;(5):146–151. https://doi.org/10.30686/1609-9192-2025-5-146-151
Информация о статье
Поступила в редакцию: 27.06.2025
Поступила после рецензирования: 04.08.2025
Принята к публикации: 06.08.2025
Информация об авторах
Сазонов Юрий Апполоньевич – доктор технических наук, профессор кафедры машин и оборудования, Российский государственный университет нефти и газа имени Губкина, г. Москва, Российская Федерация; e-mail: Адрес электронной почты защищен от спам-ботов. Для просмотра адреса в вашем браузере должен быть включен Javascript.
Мохов Михаил Альбертович – доктор технических наук, профессор кафедры разработки и эксплуатации нефтяных месторождений, Российский государственный университет нефти и газа имени Губкина, г. Москва, Российская Федерация; e-mail: Адрес электронной почты защищен от спам-ботов. Для просмотра адреса в вашем браузере должен быть включен Javascript.
Грязнова Инна Владимировна – кандидат технических наук, старший научный сотрудник Института физики горных пород, Российский государственный университет нефти и газа имени Губкина, г. Москва, Российская Федерация; e-mail: Адрес электронной почты защищен от спам-ботов. Для просмотра адреса в вашем браузере должен быть включен Javascript.
Воронова Виктория Васильевна – кандидат технических наук, старший научный сотрудник Института физики горных пород, Российский государственный университет нефти и газа имени Губкина, г. Москва, Российская Федерация; e-mail: Адрес электронной почты защищен от спам-ботов. Для просмотра адреса в вашем браузере должен быть включен Javascript.
Туманян Хорен Артурович – младший научный сотрудник Института физики горных пород, Российский государственный университет нефти и газа имени Губкина, г. Москва, Российская Федерация; e-mail: Адрес электронной почты защищен от спам-ботов. Для просмотра адреса в вашем браузере должен быть включен Javascript.
Введение
Современное развитие науки и техники по любому направлению тесно связано с компьютерными технологиями и с решением многопараметрических задач. Струйные насосы и струйные компрессоры используют для добычи нефти, в том числе в осложненных условиях [1]. Известно, что струйные аппараты используются во многих отраслях производства, включая строительство [2], энергетику [3; 4], авиационную и ракетную технику [5] и перспективные гибридные ракетные двигатели [6]. Продолжают изучать вихревые струйные аппараты [7], прямолинейные эжекторы [8–10] и криволинейные эжекторы [11–13]. Показано, что в ряде случаев криволинейный эжектор имеет преимущества по сравнению с прямолинейным эжектором [14–16].
Известен регулируемый струйный аппарат, в котором набор сопел и набор камер смешения размещены в поворотных дисковых суппортах [17] с обеспечением возможности для фиксации нескольких рабочих положений. А каждому рабочему положению суппортов соответствует одно сопло и одна камера смешения определенного размера. При этом остальные сопла и камеры смешения заблокированы и находятся в нерабочем состоянии. Если проводить критический анализ, то можно отметить, что технический потенциал такого струйного аппарата и патента [17] не раскрыт в полной мере. В этом частном случае большинство камер смешения (из набора) заблокированы, но в более общем случае эти камеры смешения могут участвовать в рабочем процессе, а это сможет расширить область практического использования такого известного технического решения. К примеру, представленное техническое решение [17] также может быть использовано при создании перспективных многопоточных эжекторов.
Известны технические решения с использованием вращающегося сопла [18; 19]. Следует отметить, что угловое перемещение сопла относительно камеры смешения может осуществляться по различным законам движения. Так, угловая скорость движения сопла может быть постоянной во времени, как в частном случае [18]. Но в общем случае угловая скорость движения сопла может меняться во времени. Подобные режимы работы струйного аппарата стали сейчас доступны для изучения при использовании CFD-технологий.
Материалы и методы
Первоначально выполняется разработка гипотез о развитии многопоточных эжекторов, включая варианты реверсивного эжектора, у которого в камере смешения направление потока может меняться на противоположное направление. Выдвинута гипотеза о возможности создания многопоточного реверсивного эжектора за счет использования поворотного сопла (или нескольких поворотных сопел). На данном этапе исследований в рамках концептуального проектирования ведется разработка множества принципиальных схем в области многопоточных реверсивных эжекторов.
На основе подготовленной принципиальной схемы далее разрабатываются варианты математической модели для создания цифрового двойника эжектора, обладающего свойствами многопоточного реверсивного эжектора. Оцениваются возможности для практического использования результатов научных исследований при решении актуальных проблем в энергетике и робототехнике, преимущественно в области добычи нефти и газа.
Сбор и обработка всей полученной научной информации выполняются с использованием инструментов «MSIF» с учетом перспективы для применения возможностей развивающегося искусственного интеллекта.
Результаты
Авторами статьи были рассмотрены варианты многопоточного эжектора. Было показано, что в общем случае несколько камер смешения одновременно могут участвовать в рабочем процессе. В отличие от частного случая на примере, представленном в работе [17], где работает только одна камера смешения, при этом остальные камеры смешения остаются заблокированными. Поворотное сопло может обеспечить подачу рабочей среды в одну камеру смешения или в несколько камер смешения одновременно [20–23]. Одно из подобных технических решений было представлено в патенте авторов данной статьи (патент РФ на изобретение № 819487).
На рис. 1 представлена схема многопоточного эжектора с поворотным соплом (вариант).
Рис. 1 Схема многопоточного эжектора с поворотным соплом: 1, 2, 3 – камеры смешения; 4 – сопло поворотное; 5 – платформа
Fig. 1 A schematic diagram of a multi-flow ejector fitted with a rotating nozzle: 1, 2, 3 – mixing chambers; 4 – rotating nozzle; 5 – platform
В данном примере на платформе 5 размещен многопоточный эжектор, оснащенный поворотным соплом 4 и тремя камерами смешения 1–3. В рамках координатной плоскости x,y сопло 4 может поворачиваться на угол α вокруг точки – начала координат x,y. Истечение рабочей среды через сопло 4 провоцирует возникновение силы реакции F, которой соответствует угол β. При отсутствии камер смешения 1–3 можно было бы записать соотношение α=β+180°, как для частного случая. Но в общем случае при наличии камер смешения 1–3 это соотношение может быть нарушено, что связано со спецификой рабочего процесса струйного аппарата, включая пример с эжектором или пример со струйным насосом [2; 3]. С учетом закона количества движения (уравнение Эйлера) для примера по рис. 1 разработана математическая модель первого уровня и цифровой двойник. При этом для плоской модели силу F можно представить через проекции по двум осям Fx, Fy:
(1)
Максимальное значение силы F0:
(2)
Из теории струйных насосов, где используют уравнение Эйлера [11; 12], можно вывести следующие базовые соотношения для многопоточного эжектора с цилиндрическими камерами смешения по рис. 1:
(3)
(4)
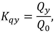
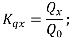
где Kα – коэффициент, учитывающий угол отклонения dα для потока, выходящего из сопла, относительно продольной оси камеры смешения; Kqx, Kqy – коэффициенты, учитывающие условие разделения потока рабочей среды на два потока; Kx, Ky – коэффициенты, учитывающие направление сил Fx, Fy соответственно.
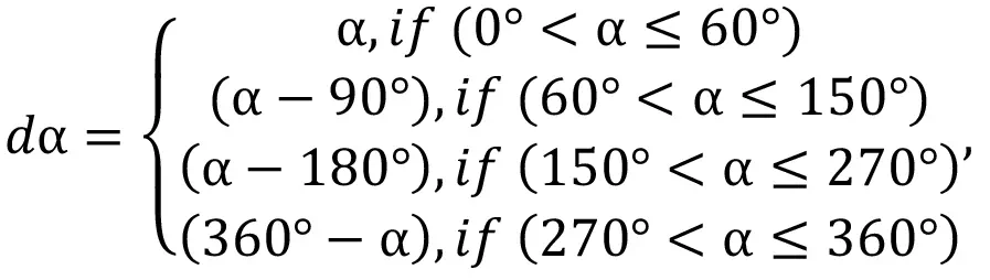
При этом для примера, представленного на рис. 1, с учетом известных методик [2, 3] предложена формула для определения угла dα и коэффициента Kα:
(5)
(6)
Для коэффициентов Kα; Kqx; Kqy введены следующие ограничения:
(7)
(8)
(9)
(10)
При разделении потока рабочей среды на два потока оценивают соотношение массовых расходов:
(11)
(12)
где Q0 – массовый расход рабочей среды, проходящей через сопло, по рис. 1; Qx – массовый расход рабочей среды, проходящей вдоль оси x, по рис. 1; Qy – массовый расход рабочей среды, проходящей вдоль оси y, по рис. 1. Коэффициент Kx принимает значение +1, если направление Fx совпадает с направлением оси x; или принимает значение –1, если направление Fx не совпадает с направлением оси x. Коэффициент Ky принимает значение +1, если направление Fy совпадает с направлением оси y; или принимает значение –1, если направление Fy не совпадает с направлением оси y.
Таблица 1 Основные параметры цифрового двойника для многопоточного реверсивного эжектора (вариант)
Table 1 Main parameters of the digital twin for a multi-flow reversible ejector (an option)
В табл. 1 представлено обобщение с указанием основных параметров цифрового двойника для многопоточного реверсивного эжектора (на примере по рис. 1). В табл. 2 представлены расчетные данные для многопоточного реверсивного эжектора (на примере по рис. 1).
Таблица 2 Результаты расчета при различных поворотах угла сопла
Table 2 Calculation results for different nozzle rotation angles
В графическом виде на рис. 2 и 3 представлены результаты расчета многопоточного реверсивного эжектора на примере разработанного цифрового двойника.
Рис. 2 Результаты расчета многопоточного реверсивного эжектора (на примере цифрового двойника): зависимости от угла α
Fig. 2 Calculation results for a multi-flow reversible ejector (using a digital twin): dependencies on angle α
Рис. 3 Результаты расчета многопоточного реверсивного эжектора (на примере цифрового двойника): зависимость угла β от угла α
Fig. 3 Calculation results for a multistream reversible ejector (using a digital twin as an example): dependence of angle β on angle α
Следует отметить, что при повороте сопла в диапазоне 60°<α≤120° параметр сначала возрастает от 0.866 до 1 и далее снижается до 0.866. При повороте сопла в диапазоне (150°<α≤270°) параметр уменьшается от –0.866 до –1 и далее увеличивается до 0. При повороте сопла в диапазоне 270°<α≤360° параметр β скачкообразно переходит от значения 360° до 180° и далее сохраняет неизменное значение 180°, реализуется процесс реверса с изменением направления импульса сил на противоположное направление.
Для краткого пояснения принципа работы многопоточного реверсивного эжектора на рис. 4 представлена принципиальная схема струйной установки, в основу которой заложен один из вариантов многопоточного эжектора.
Рис. 4 Принципиальная схема струйной установки (вариант): 1 – канал рабочей среды; 2 – канал перекачиваемой среды; 3 – сопловой аппарат; 4 – рабочая камера; 5–7 – камеры смешения; 8 – поворотное сопло; 9 – сервопривод; 10 – блок управления; 11 – поворотный дефлектор; 12 – дополнительный сервопривод; 13, 14 – управляющие каналы
Fig. 4 A schematic diagram of the jet installation (an option): 1 – channel for the operating medium; 2 – channel for the pumped medium; 3 – nozzle assembly; 4 – working chamber; 5–7 – mixing chambers; 8 – rotating nozzle; 9 – servo drive; 10 – control unit; 11 – rotating deflector; 12 – additional servo drive; 13, 14 – control channels
Если рассматривать область энергетики, к примеру, добычу нефти и газа, то в качестве источников рабочей среды могут выступать добывающие скважины с высоким пластовым давлением. Многопоточный эжектор в этом случае позволит рационально использовать природную пластовую энергию для поддержания уровня добычи нефти и газа из скважин с пониженным пластовым давлением. Также рассматриваются и варианты использования пластовой энергии для генерации электроэнергии на морских нефтяных и газовых месторождениях.
Обсуждение результатов
При подготовке научного задела [20–23] авторами данной статьи были разработаны типовые схемы многопоточного эжектора, адаптированного для управления потоками в трехмерном пространстве. Было показано, что в общем случае многопоточный эжектор содержит многопоточный сопловой аппарат, блок рабочих камер (или блок камер смешения) и комплект диафрагм (или дефлекторов).
Также предлагается учитывать технические возможности поворотных диффузоров для создания перспективных модификаций сопла Лаваля; а поворот диффузора вокруг оси такого сопла может меняться во времени по заданной программе и практически без ограничений, включая непрерывное или циклическое вращение с определенной угловой скоростью (и угловым ускорением).
Заключение
Исследованы особенности рабочего процесса многопоточного реверсивного эжектора, оснащенного поворотным соплом. Разработаны новые научные принципы для проектирования многопоточного реверсивного эжектора при контролируемом распределении энергии по каналам эжектора, в том числе с использованием поворотного диффузора в модернизированном сопле Лаваля. Новые технические решения находятся в стадии патентования.
Список литературы
1. Knoeller M.C., Robison C.E., Agarwal M., Paulet B.A. Jet pump controller with downhole prediction. United States Patent 11078766. Publication Date: 03.08.2021. Available at: https://www.freepatentsonline.com/11078766.pdf (accessed: 28.09.2024).
2. Каменев П.Н. Гидроэлеваторы в строительстве. 2-е изд., перераб. и доп. М.: Стройиздат; 1970. 414 с.
3. Сазонов Ю.А. Основы расчета и конструирования насосно-эжекторных установок. М.: РГУ нефти и газа имени И.М. Губкина; 2012. 300 с. Режим доступа: https://www.gubkin.ru/faculty/mechanical_engineering/chairs_and_departments/machines_and_equipment/Sazonov_Yu.A._Osnovy_rascheta_i_konstr-niya_nas.-ezhekt._ustanovok.pdf (дата обращения: 05.02.2025).
4. Pugh T., O Nunez., Juenke M. Reverse flow jet pump. United States Patent US10788054B2. Publication Date: 29.09.2020. Available at: https://patents.google.com/patent/US10788054B2/en (accessed: 28.05.2025).
5. Wang Y., Wang N. Influence of the projectile rotation on the supersonic fluidic element. Aerospace. 2023;10(1):35. https://doi.org/10.3390/aerospace10010035
6. Wei S.-S., Li M.-C., Lai A., Chou T.-H., Wu J.-S. A review of recent developments in hybrid rocket propulsion and its applications. Aerospace. 2024;11(9):739. https://doi.org/10.3390/aerospace11090739
7. Усс А.Ю., Чернышев А.В., Пугачук А.С. Проектирование газореактивного привода с системой управления тягой при помощи вихревого клапана. Омский научный вестник. Серия Авиационно-ракетное и энергетическое машиностроение. 2021;5(2):47–58. https://doi.org/10.25206/2588-0373-2021-5-2-47-58 Uss A.Yu., Chernyshev A.V., Pugachuk A.S. Design of gas-jet drive with vortex valve thrust control system. Omsk Scientific Bulletin. Series Aviation-Rocket and Power Engineering. 2021;5(2):47–58. (In Russ.) https://doi.org/10.25206/2588-0373-2021-5-2-47-58
8. He Y., Shi X., Ji H. Optimal Design of Ejector Nozzle Profile with Internal and External Integrated Flow. Aerospace. 2024;11(3):184. https://doi.org/10.3390/aerospace11030184
9. Еремин А.М. Условия оптимальности классических эжекторов в различных теориях критических режимов. Труды МАИ. 2023;(130):1–34. Режим доступа: https://trudymai.ru/published.php?ID=174600 (дата обращения: 05.02.2025). Eremin A.M. Conditions of optimality of classical ejectors in the frame of different theories of critical mode. Trudy MAI. 2023;(130):1–34. (In Russ.) Available at: https://trudymai.ru/published.php?ID=174600 (accessed: 05.02.2025)
10. Башарина Т.А., Ельцов И.С., Акользин И.В., Кружаев К.В. Разработка водоструйного эжектора с широким диапазоном расходной характеристики. Труды МАИ. 2024;(134):1–22. Режим доступа: https://trudymai.ru/published.php?ID=178463 (дата обращения: 05.02.2025). Basharina T.A., Yeltsov I.S., Akolzin I.V., Kruzhaev K.V. Development of water jet ejector with a wide range of flow characteristics. Trudy MAI. 2024;(134):1–22. (In Russ.) Available at: https://trudymai.ru/eng/published.php?ID=178463 (accessed: 05.02.2025).
11. Халиуллин Р.Р. Повышение эффективности энергетических ГТУ применением эжекторных систем [Дис. … канд. техн. наук]. Казань; 2019. 136 с.
12. Картас С.С. Влияние геометрических параметров эжектора с криволинейным участком камеры смешения на его коэффициент эжекции. В кн.: Абдуллазянов Э.Ю. (ред.) Тинчуринские чтения-2020 «Энергетика и цифровая трансформация»: материалы Междунар. молодеж. науч. конф., г. Казань, 28–29 апреля 2020 г. Казань: Казанский государственный энергетический университет; 2020. Т. 2. С. 101–103.
13. Картас С.С., Панченко В.И., Александров Ю.Б. Выбор модели турбулентной вязкости для численного расчета эжектора с криволинейным участком камеры смешения. Известия высших учебных заведений. Авиационная техника. 2019;(4):87–90. Kartas S.S., Panchenko V.I., Aleksandrov Y.B. Selection of the turbulent viscosity model for numerical calculation of the ejector with a curvilinear section of the mixing chamber. Russian Aeronautics. 2019;62(4):620–624. https://doi.org/10.3103/S1068799819040123
14. Картас С.С., Александров Ю.Б. Сравнения характеристик криволинейного и прямолинейного эжекторов. В кн.: XXIV Туполевские чтения (школа молодых ученых): материалы Междунар. молодёж. науч. конф., г. Казань, 7–8 ноября 2019 г. Казань: ИП А.Р. Сагиева; 2019. Т. 2. С. 226–228.
15. Картас С.С., Панченко В.И., Александров Ю.Б. Влияние геометрических параметров эжектора с криволинейным участком камеры смешения на его характеристику. Вестник Московского авиационного института. 2019;26(4):166–173. https://doi.org/10.34759/vst-2019-4-166-173 Kartas S.S., Panchenko V.I., Aleksandrov Yu.B. Geometric parameters effect of ejector with curvilinear section of mixing chamber on its characteristic. Aerospace MAI Journal. 2019;26(4):166–173. (In Russ.) https://doi.org/10.34759/vst-2019-4-166-173
16. Панченко В.И., Раскин А.И., Сыченков В.А., Волостнов Г.В., Халиулин Р.Р. Эжектор. Патент РФ RU119417U1. Опубл. 20.08.2012.
17. Friedmann G. Injection mixer. United States Patent US2623474A. Publication Date: 30.12.1952. Available at: https://patents.google.com/patent/US2623474A/en (accessed: 28.05.2025).
18. Wheatley M.J. Apparatus for energy transfer. UK Patent Application GB0213375D0. Publication Date: 24.07.2002. Available at: https://patents.google.com/patent/GB0213375D0/en (accessed: 28.05.2025).
19. Wu W., Xu Y., Yan Y., Li S., Zhang J., Wang Z. Investigation on the flow characteristics of rotating nozzle cavitation water jet flow field. Journal of Applied Fluid Mechanics. 2024;17(12):2637-2651. https://doi.org/10.47176/jafm.17.12.2741
20. Sazonov Yu.A., Mokhov M.A., Gryaznova I.V., Voronova V.V., Tumanyan K.A., Konyushkov E.I. Thrust vector control within a geometric sphere, and the use of Euler’s tips to create jet technology. Civil Engineering Journal. 2023;9(10):2516–2534. https://doi.org/10.28991/CEJ-2023-09-10-011
21. Sazonov Yu.A., Mokhov M.A., Gryaznova I.V., Voronova V.V., Tumanyan K.A., Konyushkov E.I. Solving innovative problems of thrust vector control based on Euler’s scientific legacy. Civil Engineering Journal. 2023;9(11):2868–2895. https://doi.org/10.28991/CEJ-2023-09-11-017
22. Sazonov Yu.A., Mokhov M.A., Bondarenko A.V., Voronova V.V., Tumanyan K.A., Konyushkov E.I. Interdisciplinary studies of jet systems using euler methodology and computational fluid dynamics technologies. HighTech and Innovation Journal. 2023;4(4):703–719. https://doi.org/10.28991/HIJ-2023-04-04-01
23. Sazonov Y.A., Mokhov M.A., Bondarenko A.V., Voronova V.V., Tumanyan K.A., Konyushkov E.I.. Investigation of a multiflow ejector equipped with variable-length links for thrust vector control using Euler’s methodology. Eng. 2024;5(4):2999–3022. https://doi.org/10.3390/eng5040156










