Обеспечение водозащиты кимберлитовых рудников криолитозоны возведением подземных ледопородных барьеров
В.В. Киселев, Ю.А. Хохолов , А.С. Курилко, Д.В. Хосоев
Институт горного дела Севера им. Н.В. Черского Сибирского отделения Российской академии наук, г. Якутск, Российская Федерация
Russian Mining Industry №4S / 2025 p. 94-98
Резюме: В статье изложены материалы исследований, направленные на решение вопросов водозащиты алмазодобывающих рудников криолитозоны с большим водопритоком подземных вод. На основе проведенного анализа существующих способов водозащиты предложен и запатентован оригинальный способ опережающего возведения подземного криогенного ледопородного барьера вокруг алмазосодержащей трубки, основанного на использовании искусственно вырабатываемого холода. Приведено описание технологической схемы реализации способа на практике. Изложены материалы численных экспериментов, проведенных на специально разработанной трехмерной математической модели, и результаты расчетов по разработанной компьютерной программе температурного режима возводимого барьера при различных скоростях фильтрации подземных вод, представленные в графической форме. Отмечается, что численная реализация математической модели позволяет выбрать оптимальные энергосберегающие режимы работы замораживающей системы, обеспечивающие высокую скорость возведения кольцеобразного ледопородного водозащитного барьера вокруг алмазных трубок. Подчеркивается техническая возможность и экономическая эффективность реализации способа, способствующего снижению трудовых и финансовых затрат, обеспечению безопасных условий труда горнорабочих и эксплуатации горной техники.
Ключевые слова: алмазосодержащее месторождение, алмазосодержащая трубка, законсервированный карьер, рудник, водопритоки, ледопородные сооружения, криолитозона
Благодарности: Работа выполнена в рамках государственного задания Министерства науки и высшего образования Российской Федерации (тема №0297-2021-0021, ЕГИСУ НИОКТР №122011800083-0) с использованием оборудования ЦКП ФИЦ ЯНЦ СО РАН.
Для цитирования: Киселев В.В., Хохолов Ю.А., Курилко А.С., Хосоев Д.В. Обеспечение водозащиты кимберлитовых рудников криолитозоны возведением подземных ледопородных барьеров. Горная промышленность. 2025;(4S):94–98. https://doi.org/10.30686/1609-9192-2025-4S-94-98
Информация о статье
Поступила в редакцию: 25.06.2025
Поступила после рецензирования: 13.08.2025
Принята к публикации: 22.08.2025
Информация об авторах
Киселев Валерий Васильевич – кандидат технических наук, старший научный сотрудник лаборатории горной теплофизики, Институт горного дела Севера им. Н.В. Черского Сибирского отделения Российской академии наук, г. Якутск, Российская Федерация
Хохолов Юрий Аркадьевич – доктор технических наук, ведущий научный сотрудник лаборатории горной теплофизики, Институт горного дела Севера им. Н.В. Черского Сибирского отделения Российской академии наук, г. Якутск, Российская Федерация; https://orcid.org/0000-0002-9510-3808; e-mail: Адрес электронной почты защищен от спам-ботов. Для просмотра адреса в вашем браузере должен быть включен Javascript.
Курилко Александр Сардокович – доктор технических наук, ведущий научный сотрудник лаборатории горной теплофизики, Институт горного дела Севера им. Н.В. Черского Сибирского отделения Российской академии наук, г. Якутск, Российская Федерация; e-mail: Адрес электронной почты защищен от спам-ботов. Для просмотра адреса в вашем браузере должен быть включен Javascript.
Хосоев Доржо Владимирович – младший научный сотрудник лаборатории горной теплофизики, Институт горного дела Севера им. Н.В. Черского Сибирского отделения Российской академии наук, г. Якутск, Российская Федерация
Введение
К настоящему времени за более чем полувековой период в отработку вовлечено 16 кимберлитовых трубок, а на трёх из них после консервации карьеров, достигших критической глубины, отработка подкарьерных запасов осуществляется подземным способом. Рудник «Мир» АК «АЛРОСА», запущенный в 2009 г. после катастрофического затопления в 2017 г., находится в настоящее время на консервации [1].
Необходимо отметить, что произошедшая авария, повлекшая человеческие жертвы, случилась несмотря на наличие многоуровневой системы водозащиты, осушения и водопонижения. Всё вышесказанное подтверждает нерешённость и сложность проблемы водозащиты кимберлитовых рудников криолитозоны и необходимость разработки надёжных превентивных мероприятий. Ими могут быть, в частности, подземные криогенные ледопородные барьеры, сооружаемые с опережением добычных работ с использованием искусственно вырабатываемого холода, ограждающие отрабатываемое рудное тело от водоносного горизонта.
В условиях криолитозоны ледогрунтовые сооружения возводятся и эксплуатируются в качестве плотин, дамб, целиков и закладочных массивов при отработке мерзлотных горизонтов шахт и рудников Севера [2; 3]. Ледопородные ограждения, экраны, перемычки и завесы применяются для защиты котлованов, карьеров, подземных горных выработок и сооружений, фундаментов зданий и т.д. от подземных вод. При этом наибольшее распространение получил рассольный способ замораживания, базирующийся на принудительной циркуляции предварительно охлажденного в морозильной станции до отрицательной температуры хладоносителя в замораживающих колонках, устанавливаемых в предварительно пробуриваемые в породном массиве скважины [4].
Материалы и методы
Применяемые способы водоотведения на кимберлитовых и карьерных рудниках АК «АЛРОСА» Кимберлитовые месторождения РС(Я), находящиеся в стадии эксплуатации, характеризуются наряду с наличием грунтовых, надмерзлотных, межмерзлотных и подмерзлотных вод, как правило, присутствием одного, а порой и нескольких водоносных горизонтов с водопритоками различной интенсивности (от 85 до 1200 м3/ч) [5; 6].
В связи с этим ведение как открытых, так и в особенности подземных работ производится с применением сложных способов водопонижения, осушения и водоотлива.
Рекомендуемый способ опережающего возведения водозащитного ледопородного барьера в подземных условиях Для борьбы с подземными водами авторами статьи был разработан и запатентован способ опережающего возведения подземного ледопородного водозащитного барьера вокруг отрабатываемой алмазосодержащей трубки [7]. Реализация способа на практике включает проходку вертикального ствола строящегося рудника до верхней границы водоносного горизонта, а также выработок околоствольного двора, включая камеры для размещения замораживающей станции и ёмкости для хладоносителя.
Затем проходится квершлаг и кольцеобразная горная выработка по периметру рудного тела (трубки), из которой по всей её длине пробуриваются вертикальные нисходящие скважины глубиной, выходящей за пределы нижней границы водоносного горизонта. Кроме этого, пробуриваются термометрические и наблюдательные скважины для контроля температурного режима и динамики процесса намораживания ледопороды.
По завершении этих работ в камерах рудничного двора устанавливают замораживающую станцию и ёмкость для хладоносителя, а также насосы и всё необходимое оборудование, прокладываются две нитки трубопроводов для циркуляции хладоносителя (прямая и обратная). Затем в пробуренные технологические скважины устанавливают замораживающие колонки, а в наблюдательные – измерительные приборы. После этого ёмкость и всю систему хладоснабжения заполняют хладоносителем и приступают к возведению ледопородного барьера по традиционной технологии. Её сущность заключается в принудительной прокачке предварительно охлажденного в морозильной станции до отрицательной температуры хладоносителя по замораживающим колонкам с намораживанием вокруг них ледопородных цилиндров, которые, смыкаясь, образуют герметичное ледопородное сооружение – барьер, надежно изолирующий отрабатываемое рудное тело от притока подземных вод, обеспечивая тем самым водозащиту и безопасное ведение подготовительных и добычных работ в руднике.
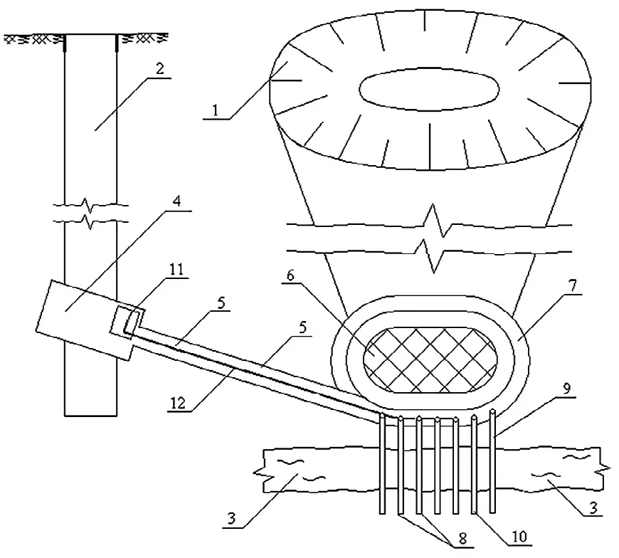
Рис. 1 Способ возведения подземных ледопородных барьеров для защиты кимберлитовых рудников криолитозы от водопритоков: 1 − отработанный законсервированный кимберлитовый карьер; 2 − вертикальный ствол строящегося рудника; 3 − верхняя граница подземного водоносного горизонта; 4 − рудничный двор; 5 − квершлаг; 6 − рудное тело (отрабатываемая алмазосодержащая трубка; 7 – кольцеобразная горизонтальная выработка; 8 − нисходящие вертикальные скважины; 9 − термометрические скважины; 10 − контролирующие скважины; 11 − морозильная станция; 12 − нитки магистральных трубопроводов (прямая и обратная)
Fig. 1 A method for constructing underground ice barriers to protect kimberlite mines in the cryolitic zone from water inflows: 1 − worked-out and temporally abandoned kimberlite openpit mine; 2 − vertical shaft of an underground mine under construction; 3 − upper boundary of the underground aquifer; 4 − pit bottom; 5 − crosscut; 6 − ore body (diamondbearing pipe being mined); 7 − ring-shaped horizontal working; 8 − descending vertical boreholes; 9 − temperature-logging boreholes; 10 − control boreholes; 11 − freezing system; 12 − main pipeline lines (forward and return)
Математическая модель возведения предохранительного кольцеобразного ледопородного водозащитного барьера вокруг алмазной трубки Для выявления особенностей формирования температурного режима возводимого барьера разработана трехмерная математическая модель, учитывающая температуру замораживающей жидкости, длину замораживающих колонок и расстояние между ними, степень засоленности вмещающих пород и количество фильтруемых подземных вод в рудник.
Тепловой расчет температурного режима массива пород в стадии замораживания с учетом фильтрации поровых вод включает в себя решение целого ряда задач, таких как протаивание–промерзание окружающих горных пород в зависимости от их геометрических параметров. Кроме этого, учтены скорость течения поровых вод и интенсивность теплообмена с рудничным воздухом, наличие охлаждающих устройств и т.д. В настоящее время уже разработан целый ряд эффективных методов решения задачи типа Стефана в одномерной и двухмерной постановках [8–12].
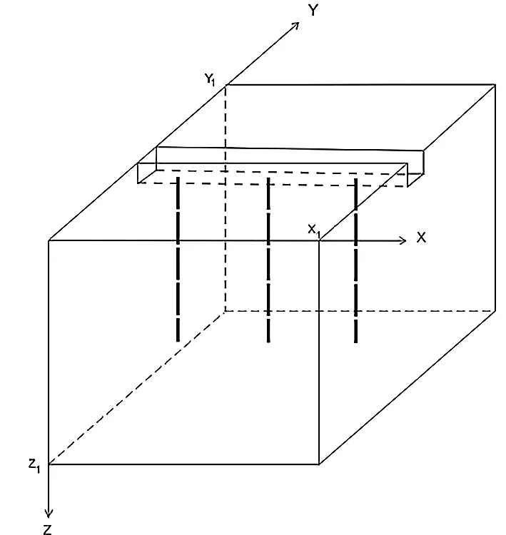
Рис. 2 Трехмерная область для расчета температурного режима горных пород с учетом наличия замораживающих устройств
Fig. 2 A three-dimensional area for calculating the temperature conditions of rock formations, with account of the presence of the freezing system
Модель численно реализует основные положения разработанного способа [7]. Для прогноза температурного режима горных пород с учетом наличия трех замораживащих устройств выделена расчетная область, которая приведена на рис. 2. Численная реализация многомерных задач Стефана осуществлена методом сглаживания [13; 14].
(1)
где С – объемная теплоемкость пород, Дж/(м3·К); T – температура горных пород, С; Lф – теплота фазовых переходов воды, Дж/кг; Wнв – количество незамерзшей воды, доли ед.; ρ – плотность горных пород, кг/м3; t – время, с; λ – коэффициент теплопроводности горной породы, Вт/(м·К), св, – удельная теплоемкость воды, Дж/(кг·К); ρв – плотность воды, кг/м3; vx, vy, vz – скорости фильтрации воды по координатам x, y, z, м/с.
Для решения одномерной задачи промерзания– протаивания в постановке вида (1) использованы численные методы сквозного счета со сглаживанием коэффициентов [15].
Разработана компьютерная программа расчета параметров формирования температурного режима предохранительного ледопородного водозащитного барьера, возводимого вокруг алмазоносных трубок криолитозоны, на языке Visual Fortran.
Результаты и их обсуждение
По разработанной программе расчета температурного режима ледопородного кольцеобразного барьера, возводимого вокруг алмазной трубки, проведены предварительные численные расчеты основных параметров при следующих исходных данных. Размеры области: y1 = z1 = 30 м, х1 зависит от расстояний между замораживающими колонками, для расстояния 3 м х1 = 10 м, а для расстояния 5 м х1 = 15 м. Длина замораживающей колонки принята равной 25 м. Влажность засоленных горных пород w = 0,2, температура начала фазовых переходов Т1 = 0 °С, температура полного замерзания пород Т2 = –5 °С. Температуры хладагента в замораживающих колонках приняты равными –16 °С и –20 °С.
Рис. 3 Толщина намороженного ледопородного массива при температуре замораживания –16 °С, расстояниях между замораживающими колонками 3 и 5 м в зависимости от скорости фильтрации рассолов
Fig. 3 Thickness of the fice-androck mass at the freezing temperature of –16°C, the distances between the freezing boreholes of 3 and 5 m, depending on the brine filtration rate
На рис. 3 приведены результаты расчетов при скорости фильтрации влаги на границе v1 = 1·10–6 м/с, расстоянии между замораживающими скважинами 3 м, температуре замораживания –16 °С после 1 года работы замораживающей системы. Из графиков видно, что через 1 год работы замораживающей системы может образоваться мерзлый однородный ледопородный массив с температурой –5 °С, толщина которого на уровне у = 15 м составляет 7,4 м, что соответствует требованиям. Такие же расчеты проведены при скоростях фильтрации рассолов 0,5·10–6, 1·10–6, 1,5·10–6, 2·10–6, 2,5·10–6 м/с и температуре замораживания –20 °С. Результаты расчетов приведены в табл. 1 и на рис. 3.
Таблица 1 Толщина возводимого мерзлого массива на уровне у = 15 м через 1 год замораживания при расстояниях между замораживающими скважинами 3 и 5 м
Table 1 Thickness of the frozen rock mass at the level of у = 15 m after 1 year of freezing with the distances between the freezing boreholes being 3 and 5 m
Из данных табл. 1 и рис. 3 следует, что при повышении скорости фильтрации вод происходит смещение мерзлой зоны в замораживаемом породном массиве по направлению фильтрационного потока. Также при повышении скорости фильтрации вод уменьшается толщина образуемого мерзлого породного массива.
Заключение
Основными преимуществами предлагаемого способа являются обеспечение надежной защиты кимберлитовых рудников криолитозоны от внезапного прорыва и поступления подземных вод с высокой минерализацией, а также снижение затрат на водоотлив, ремонт горной техники, трубопроводов, крепи и т.д.
Результаты проведенных исследований, математического моделирования и проведенных расчетов подтвердили, что возведение ледопородного защитного барьера в подземных условиях технически возможно и экономически оправданно, позволит снизить трудовые и финансовые затраты, интенсивность негативных процессов физико-химического выветривания пород, а также улучшить условия труда горнорабочих и эксплуатации горной техники.
Список литературы
1. Архипов А.Г. Последний путь подземного рудника «Мир»: Исследование причин катастрофы 4 августа 2017 г. СПб.: Политехника; 2019. 264 с.
2. Combefort H. Injection des sols. Vol. 1: Principes et methods. Paris: Edition Eyrolles; 1964. 393 p.
3. Заровняев Б.Н., Шубин Г.В., Васильев И.В., Курилко А.С., Каймонов М.В. Специфика комбинированной доработки глубоких алмазных трубок в условиях криолитозоны. Горный информационно-аналитический бюллетень. 2012;(S7):189–195.Zarovnyaev B.N., Shubin G.V., Vasiliev I.V., Kurilko A.S., Kaymonov M.V. Specific features of the combined cleaning-up of deep diamond pipes in conditions of the cryolithic zone. Mining Informational and Analytical Bulletin. 2012;(S7):189–195. (In Russ.)
4. Андреев М.Н., Богуславский Э.И. Технология разработки подкарьерных запасов кимберлитовых трубок в сложных гидрогеологических условиях. Записки Горного института. 2011;190:138–142. Режим доступа: https://pmi.spmi.ru/pmi/article/view/6439 (дата обращения: 22.05.2025).Andreev M.N., Boguslavskii E.I. Technology of kimberlitic tubes underquarry deposits mining in complex hydro-geological conditions. Journal of Mining Institute. 2011;190:138–142. (In Russ.) Available at: https://pmi.spmi.ru/pmi/article/view/6439 (accessed: 22.05.2025).
5. Дроздов А.В., Иост Н.А., Лобанов В.В. Криогидрогеология алмазных месторождений Западной Якутии. Иркутск : Изд-во ИрГТУ; 2008. 507 с.
6. Дроздов А.В., Крамсков Н.П., Гензель Г.Н. Особенности гидрогеомеханического мониторинга под водными объектами на алмазных месторождениях Западной Якутии. Вестник Иркутского государственного технического университета. 2011;(1):72–79.Drozdov A.V., Kramskov N.P., Genzel G.N. Features of hydrogeomechanical monitoring under water bodies at diamond deposits of Western Yakutia. Proceedings of Irkutsk State Technical University. 2011;(1):72–79. (In Russ.)
7. Хохолов Ю.А., Романова Е.К., Хосоев Д.В., Киселев В.В. Способ опережающего возведения подземных ледопородных барьеров для защиты кимберлитовых рудников криолитозоны от высоконапорных водопритоков. Патент РФ RU2827249C1. Опубл.: 23.09.2024.
8. Chen Z., Guo X., Shao L., Wang X., Li S. Calorimetry of a multicomponent system for the analysis of frozen soil specific heat test considering the effect of latent heat. Eurasian Soil Science. 2020;53:207–214. https://doi.org/10.1134/S1064229320020039
9. Zhang W., Lei H., Wang L., Bo Y., Zhan C. Investigation and prediction on the freezing point of the clay under different salinity conditions. Bulletin of Engineering Geology and the Environment. 2024;83(8):341. https://doi.org/10.1007/s10064-024-03832-5
10. Zhou Y., Huang H., Liu M., Li M., Suo X. Frost heave model and frost heaving force analysis of permafrost tunnel based on segregated ice. Tunnelling and Underground Space Technology. 2024;47:105715. https://doi.org/10.1016/j.tust.2024.105715
11. Zhelnin M., Kostina A., Prokhorov A., Plekhov O., Semin M., Levin L. Coupled thermo-hydro-mechanical modeling of frost heave and water migration during artificial freezing of soils for mineshaft sinking. Journal of Rock Mechanics and Geotechnical Engineering. 2022;14(2):537–559. https://doi.org/10.1016/j.jrmge.2021.07.015
12. Xiao Z., Li K., Duan J., Zhang S. Study on the multi-field-coupling model of saline frozen soil considering ice and salt crystallization. Computers and Geotechnics. 2024;169:106209. https://doi.org/10.1016/j.compgeo.2024.106209
13. Самарский А.А., Моисеенко Б.Д. Экономичная схема сквозного счета для многомерной задачи Стефана. Журнал вычислительной математики и математической физики. 1965;5(5):816–827.Samarskii A.A., Moiseyenko B.D. An economic continuous calculation scheme for the Stefan multidimensional problem. USSR Computational Mathematics and Mathematical Physics. 1965;5(5):43–58. https://doi.org/10.1016/0041-5553(65)90004-2
14. Пермяков П.П., Аммосов А.П. Математическое моделирование техногенного загрязнения в криолитозоне. Новосибирск: Наука; 2003. 223 с.
15. Anderson D.M., Morgenstern N.R. Physics, chemistry and mechanics of frozen Ground: A review. In: Permafrost: North American Contribution. Washington, DC: The National Academies Press; 1973, pp. 257–288. https://doi.org/10.17226/20223










